計算目的
(1)驗算結構的剛度,校核結構的位移是否超過允許限值,以防止構件和結構產生過大的變形而影響結構的正常使用.
(2)為超靜定結構的內力計算打下基礎.因為,位移計算是計算超靜定結構的一個組成部分.
分類
桿繫結構
計算公式將結構上施加虛擬單位力的狀態作為力的狀態,而將待求的結構位移狀態作為虛位移狀態,從而按虛功原理建立虛功方程,即可得出位移計算的普遍公式:
平面直桿
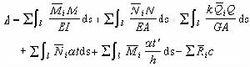
位移計算公式由線性變形體組成的平面直桿系在荷載作用、溫度變化和支座沉陷影響下的位移計算公式:式中 E、 G 和α為材料的彈性模量、剪下彈性模量和線膨脹係數; k、 I、 A和 h為橫截面的剪力修正係數、慣性矩、面積和高度; M、 N、 Q為待求位移狀態下的彎矩、軸力和剪力; t為桿軸上的溫度變化; t′為橫截面上下緣的溫差。
如果結構是靜定的,溫度變化和支座沉陷都不會使結構產生內力。如果結構是超靜定的,(2)式右邊的前三項是由荷載引起的,第四、五項是由溫度引起的,最後一項是由支座沉陷引起的。欲求超靜定結構位移,必須先求出待求位移狀態下的超靜定結構內力;而根據虛功原理,虛擬的單位力可以加在由原來的超靜定結構經解除某些約束後形成的任意靜定結構上或任意一個靜定的部分上,以使計算工作簡化。
平面曲桿
曲桿位移與直桿的不同之處在於:曲桿微段ds在受軸力作用時兩端截面也會產生相對轉角,在受力矩作用時也會產生相對軸向位移,並且中性軸不再與形心軸重合。所以,嚴格地說,平面曲桿的位移公式應在(2)式基礎上作相應的補充和修改;但對於小曲率情況,工程上常忽略這種曲率影響。

