基本概念
組內方差方差(variance)是變數與其算術平均數之差平方的算術平均數,記為 。也就是說,標準差的平方即為方差。方差也是最廣泛使用的離散程度測量值。根據研究對象範圍差異方差可分為 總方差、 組內方差和 組間方差。
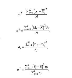
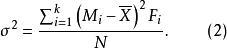
總方差是由總體變數值和總體算術平均數計算出來的方差。見式(1)和式(2)。反映總體內所有變數值差異程度。
未分組:
組內方差分組:
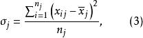
組內方差組內方差是由各組變數值和組內算術平均數計算出來的方差。反映組內內變數值差異程度。
組內方差
組內方差
組內方差式(3)中, 是第j組的組內方差, 是第j組的單位數。
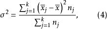
組間方差是由各組算術平均數和總體算術平均數計算出來的方差。反映各組算術平均值的差異程度。
組內方差式中,k為分組數。
相關說明
套用標準差測定總體的標誌變動度(標誌即“變數”),應包括總體各個單位標誌值對平均數的離差。而按組距分配數列計算的標準差,只是反映各組平均數對總平均數的組間離差,沒有反映各組中各單位標誌值對組平均數的組內離差。兩者計算結果是不同的。這就要求我們測定現象總體的標誌變動度時,除研究整個總體的標誌變動度外,還要研究構成總體各組的組間標誌變動度和組內標誌變動度。
總體標誌變動度和組間標誌變動度、組內標誌變動度的關係,在數量上表現為總方差和組間方差、組內方差的關係。總方差是總體各個單位標誌值對總平均數的標準差的平方。組間方差是總體各組平均數對總平均數的標準差的平方。組內方差是組內各單位標誌值對組平均數的標準差的平方。
方差分量
方差分量是方差分析模型中,觀測值的方差σ的各個分量。例如,對於雙向隨機效應方差分析
組內方差
組內方差
組內方差
組內方差有四個方差分量,主因子效應方差分量 ,互動效應方差分量 ,隨機誤差方差分量 。對於固定效應因子為A,隨機效應因子為B的混合方差分析模型,
組內方差
組內方差
組內方差有三個方差分量,B的效應的方差分量,互動因子A×B的效應的方差分量 ,和隨機誤差方差分量 。對於單向或雙向方差分析,有
組內方差
組內方差只有隨機誤差方差分量 。
方差分量的概念是針對含隨機效應的方差分析模型引進的,因此稱這樣的模型為方差分量模型。對於這樣的模型,方差分析的基本假設是通過方差分量來表述的。隨機誤差方差分量,亦稱做“組內方差”;其餘方差分量則統稱做“組間方差”,或分別稱做“主效應方差分量”和 “互動效應方差分量”。

