概述
米氏常數(Michaelis constant,)(Km)
Km:米氏常數,是研究酶促反應動力學最重要的常數。
米氏常數意義
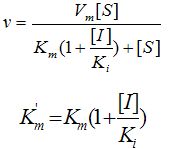
米氏常數圖示以及公式推導。 它可以表示酶和底物之間的親和能力,Km值越大,親和能力越弱,反之亦然。 它可以確定一條代謝途徑中的限速步驟:代謝途徑是指由一系列彼此密切相關的生化反應組成的代謝過程,前面一步反應的產物正好是後面一步反應的底物,例如,EMP途徑。限速步驟就是一條代謝途徑中反應最慢的那一步,Km值最大的那一步反應就是,該酶也叫這條途徑的關鍵酶。 它可以用來判斷酶的最適底物,某些酶可以催化幾種不同的生化反應,叫多功能酶,其中Km值最小的那個反應的底物就是酶的最適底物。 Km是一種酶的特徵常數,只與酶的種類有關而與酶的濃度無關,與底物的濃度也無關,這一點與Vm是不同的,因此,我們可以通過Km值來鑑別酶的種類。但是它會隨著反應條件(T、PH)的改變而改變。非競爭性抑制劑米氏常數不變,最大反應速度減小;反競爭性抑制劑米氏常數減小,最大反應速度減小
Km的意義及套用
(1)、活性中心被底物占據一半時的底物濃度。當V=1/2Vmax時,Km=[S]。
(2)、Km是特徵常數,一般只與酶的性質、底物種類及反應條件有關,與酶的濃度無關。
(3)、Km可近似表示表示酶與底物的親和力
Km=(K2+K3)/K1=Ks+K3/K1
當K1、K2>>K3時,Km近似等於Ks,因此,1/Km可近似表示酶與底物的親和力大小
(4)、Km與天然底物
Km最小或最高Vm/Km比值的底物稱之為該酶的最適底物或天然底物。
(5)、已知Km,可根據[S]推算V,或由V推算[S]
(6)、了解酶的Km及[S]推知是否受[S]調節
(7)、用於鑑別原級同工酶、次級同工酶。
(8)、測定不同抑制劑對某個酶的Km值的影響判斷抑制類型(非競爭性抑制劑米氏常數不變,最大反應速度減小;競爭性抑制劑米氏常數增大,最大反應速度不變。)
(9)、催化可逆反應的酶:測定Km和[S]推測催化反應的方向及程度。
酶相關名詞
酶 | 酶動力學 | 催化常數 | 酵素梅 | 競爭性抑制 | 非特異性抑制劑 | 酶多重性 | 多酶體系 | 開特 | 全酶 | 米氏常數 | 酶催化機制 | 催化部位 | 非競爭性抑制 | 抑制結構域 | 酶多態性 | 多酶複合物 | 活化能 | 米氏方程 | 鎖鑰學說 | 催化亞基 | 反競爭性抑制 | 協同催化 | 酶解作用 | 活性部位 | 同工酶 | 米氏動力學 | 誘導契合學說 | 不可逆抑制 | 非特異性抑制 | 協作抑制 |酶複合物| 酶活性 | 最適pH | 酶原 | 雙倒數作圖法 | 催化活性 | 可逆抑制 | 競爭性抑制劑 | 反饋抑制 | 酶系 | 酶單位 | 最適溫度

