定義
算術均數(簡稱算數均數)是描述一組同質觀察值的集中趨勢,反映一組觀察值平均水平的三種常用指標之一(其餘為幾何均數和中位數),適用於服從對稱分布變數的平均水平描述 。
計算方法
直接法
將所有的觀察值直接相加,再除以總例數,其計算公式為:
算術均數
算術均數
算術均數
算術均數
算術均數其中,n為樣本均數,為觀察值。式中的在不引起混淆的前提下,可簡化為或者。
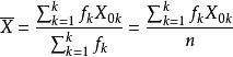
加權法(頻率表法)
加權法是根據頻數表計算均數的一種方法。當觀察例數較多時,資料通常要分組編成頻數表,對已經編成頻數表的資料不能再用直接法計算,這種情況我們可以把各組的組中值視為各組觀察值的代表值,分別乘以各組的頻數得到各組觀察值之和,然後將它們相加得到觀察值的總和再除以總例數。其計算公式如下:
算術均數
算術均數
算術均數
算術均數
算術均數式中k表示頻數表的組段數,為第k組段的頻數,為第k組段的組中值,,分別為第k組段的上限值與下限值。
性質
1、算術平均數是一個良好的描述集中趨勢的指標,具有反應靈敏、確定嚴密、簡明易解、計算簡單、適合進一步演算和較小受抽樣變化的影響等優點。
2、算術平均數易受極端數據的影響,這是因為平均數反應靈敏,每個數據的或大或小的變化都會影響到最終結果。
3、算術均數與方差有著密不可分的關係。
套用
實例:
某年某醫院8名女性晚期癌症患者紅細胞計數(10 /L)為4.20,6.43,2.08,3.45,2.26,4.04,5.42,3.38。是求其算術均數。
算術均數
