定義
第一型曲面積分
第一型曲面積分
第一型曲面積分
第一型曲面積分
第一型曲面積分
第一型曲面積分
第一型曲面積分
第一型曲面積分
第一型曲面積分
第一型曲面積分
第一型曲面積分
第一型曲面積分
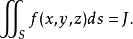
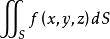
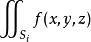
第一型曲面積分設為空間中的曲面,為定義在上的函式.對曲面作分割,它把分成個可求面積的小曲面片,的面積記為,分割的細度為,在上任取一點, 若存在極限
第一型曲面積分
第一型曲面積分
第一型曲面積分
第一型曲面積分且它的值與分割及點的取法無關,則稱此極限為在上的 第一型曲線積分 ,記為
第一型曲面積分
第一型曲面積分或者簡寫成。
計算
第一型曲面積分
第一型曲面積分
第一型曲面積分
第一型曲面積分
第一型曲面積分
第一型曲面積分
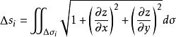
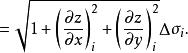
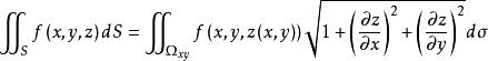
第一型曲面積分設空間曲面S的方程為,,其中為曲面S在平面上的投影域,函式在曲面S上連續,如果在上有連續的一階偏導數,則有
第一型曲面積分
第一型曲面積分
第一型曲面積分
第一型曲面積分
第一型曲面積分
第一型曲面積分
第一型曲面積分
第一型曲面積分
第一型曲面積分其中是在上的投影域,和表示在內某點處的兩個偏導數。由第一型曲面積分的定義,於是將第一型曲面積分化為二重積分的計算
第一型曲面積分物理意義
第一型曲面積分
第一型曲面積分
第一型曲面積分
第一型曲面積分表示以為面密度的空間曲面S的“質量”,即將空間曲面S想像成一塊光滑的(可微的)不摺疊的(單值的)質量分布服從的薄板,故在S上的第一型曲面積分就是薄板的代數質量 。
性質
第一型曲面積分具有下述一些重要性質 :
第一型曲面積分
第一型曲面積分
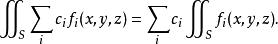
第一型曲面積分1).若存在,為常數,則也存在,且
第一型曲面積分
第一型曲面積分
第一型曲面積分
第一型曲面積分
第一型曲面積分2).若曲面由互不相交的曲面塊組成,且都存在,則也存在,且
第一型曲面積分
第一型曲面積分
第一型曲面積分
第一型曲面積分
第一型曲面積分3).若與都存在,且在上, 則
第一型曲面積分
第一型曲面積分
第一型曲面積分4).若存在,則也存在,且
第一型曲面積分套用
下面給出二個常用的套用。
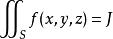
1)空間曲面S的重心坐標為
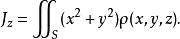
第一型曲面積分2)曲面S繞z軸(x, y軸)的轉動慣量是
第一型曲面積分
第一型曲面積分其中為曲面的密度函式。

