基本信息
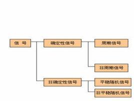
若信號被表示為一確定的時間函式,對於指定的某一時刻,可以確定一相應的函式值,這種信號被稱為確定性信號,或者說:可以表示為確定的時間函式,可確定其任何時刻的量值,稱為確定性信號或者規則信號。例如:正弦函式所描述的交流電信號,階躍函式所描述的階躍信號等;它又可以分為周期性信號和非周期性信號。一般而言,確定性信號來自確定性對象。
如果通信系統中傳輸的信號都是確定的時間函式,接收者就不可能由它得知任何信息,這樣也就失去了通信的意義。
與之相對應的是隨機信號,又稱為不確定性信號。
分類
確定信號:用確定的時間函式表示的信號
•周期信號和非周期信號
•能量信號和功率信號
•基帶信號和頻帶信號
•模擬信號和數位訊號
按周期性區分
1)周期信號:經過一定的時間可以重複出現的信號
確定性信號f(t)=f(t+T),T>0;周期 :所有T中最小的正值
周期性信號2)非周期性信號:在不會重複出現的信號。
非周期性信號按照能量區分
1)功率信號
確定性信號平均功率P為有限正值
2)能量信號
確定性信號能量有限
•能量信號的功率趨於0,功率信號的能量趨於
確定性信號按照頻率區分
基帶信號:信號能量或功率集中在零頻率附近
頻帶信號:信號能量或功率集中在某一頻載附近
基帶信號與頻帶信號相關函式
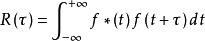
能量信號的自相關函式
確定性信號
確定性信號(1)
確定性信號(2)
確定性信號(3)
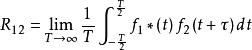
能量信號的互相關函式
確定性信號
確定性信號歸一化相關函式
確定性信號功率信號的自相關函式
確定性信號
確定性信號(1)
確定性信號(2)
確定性信號(3)
功率信號的互相關函式
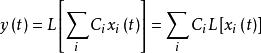
確定性信號線性系統
單入單出
系統輸入線性和的回響等於回響的線性和
確定性信號時不變性(恆參)
確定性信號
確定性信號若 時,
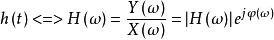
對於線性時不變系統
有傳遞函式
確定性信號信號不失真條件——理想系統
確定性信號•幅頻特性
幅頻特性•相頻特性
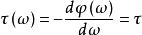
•群時延特性:不同頻率分量的到達時間
確定性信號
