基礎知識
事物之間的相互關係:因果關係(兩種事物)、共變關係(三種事物)、相關關係(兩種事物)。
相關:事物之間存在關係,但又不能直接做因果關係解釋時,稱事物間的聯繫為相關。
判斷兩個因素或變數之間是否有關係,定量地研究這些關係,稱為相關分析。
按性質不同,相關可以劃分為:正相關、負相關、零相關。
正相關:兩個變數向相同的方向變化。即一個變數的值增加,另一個變數得值也增加。
負相關:兩個變數向相反的方向變化。即一個變數的值增加,另一個變數的值相應地減少。
零相關:兩列變數之間沒有關係,即一列變數變動時,另一列變數作無規律變動。
相關係數是一種描述性統計量,它指的是一個變數與另一個變數的變化的對應程度。符號:總體相關係數ρ;樣本相關係數r。
直線回歸:當一變數隨另一變數有規律變化時,它們之間依存變化的數量關係稱直線回歸。
直線回歸分析:據實測值建立一個回歸方程,來定量表達兩變數間數量依存變化關係的方法和過程。
相關指數
相關指數決定係數表示的是兩個變數之間共同方差的比例。用符號表示: 。例如:如果兩個變數之間的相關係數r=0.82,那么 =0.67,我們就可以得出結論說,由於兩個變數間的線性關係,Y變數的67%的變異可以有X變數中的變異來預測和解釋。
相關指數
相關指數擬合優度檢驗:對樣本回歸直線與樣本觀測值之間擬合程度的檢驗。度量擬合優度的指標:判定係數(可決係數) 。可決係數的取值範圍:[0,1], 越接近1,說明實際觀測點離樣本線越近,擬合優度越高。
相關係數和相關指數是兩個不同的概念,一般是先求相關係數,分析相關性的強弱。然後求回歸方程,最後求出相關指數,分析模型的擬合效果 。
計算公式
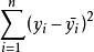
相關指數總體平方和(Total Sum of Squares): 。
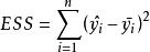
相關指數回歸平方和(Explained Sum of Squares): 。
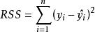
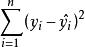
相關指數殘差平方和(Residual Sum of Squares ): 。
三者關係:TSS=ESS+RSS。
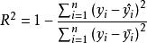
相關指數Y的觀測值圍繞其均值的總離差(total variation)可分解為兩部分:一部分來自回歸線(ESS),另一部分則來自隨機勢力(RSS)。在給定樣本中,TSS不變,如果實際觀測點離樣本回歸線越近,則ESS在TSS中占的比重越大,因此定義擬合優度:回歸平方和ESS與Y的總離差TSS的比值。即 。
相關指數
相關指數
相關指數我們可以用 來刻畫回歸的效果。對於已經獲取的樣本數據,R 表達式中的 為確定的數。因此R 越大,意味著殘差平方和 越小,即模型的擬合效果越好;R 越小,殘差平方和越大,即模型的擬合效果越差。線上性回歸模型中,R 表示解釋變數對於預報變數變化的貢獻率。R 越接近於1,表示回歸的效果越好 。
注意事項
問題
1.盲目的崇拜論文中展示或計算機計算出估計結果;
2.過度依賴方程總體擬合度在評價回歸模型不同設定之間優劣時的作用;
3.判斷係數的大小依賴於解釋變數的個數,從而造成其在評價方程總體擬合度時出現偏誤。
相應的處理方法
1.在承認回歸結果以前,要從模型所隱含的理論到數據的質量,認真考察和評估所估計方程的每一個方面;
2.綜合運用各種統計檢驗和計量檢驗;
3.儘量使用調整判斷係數。
舉例
例:一個車間為了規定工時定額,需要確定加工零件所花費的時間,為此進行了 10 次試驗,測得數據如下:
| 零件個數(x)個 | 10 | 20 | 30 | 40 | 50 | 60 | 70 | 80 | 90 | 100 |
| 加工時間(y)分 | 62 | 68 | 75 | 81 | 89 | 95 | 102 | 108 | 115 | 122 |
相關指數
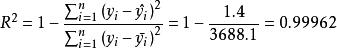
相關指數已知回歸方程為:,求出相關指數 ,進行回歸性分析。
相關指數
相關指數解:計算得,,可以說明回歸直線模型的擬合效果很好 。

