定義
相合估計
相合估計
相合估計
相合估計設 為 的基於樣本的 的一個估計量,顯然它依賴於樣本n,為表明這種依賴性,可以記之為 。隨著樣本量的變化,可得到一列估計量,一個自然的希望是,當樣本容量無線增加時,估計量能夠依某種意義接近於被估計量的真值。顯然,這是對估計量的起碼要求。相合性就是這樣的一個要求。
相合估計量
弱相合估計,簡稱為相合估計。
相合估計
相合估計
相合估計
相合估計
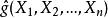
相合估計設 為 的基於樣本的 的一個估計量,若對任意固定的 ,都滿足:對於任給的 ,有
相合估計
相合估計
相合估計
相合估計成立,則稱 為 的相合估計量,上述極限式簡記為 。
強相合估計量
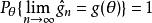
相合估計若對任何固定的 都有
相合估計
相合估計
相合估計
相合估計則稱 為 的強相合估計量,上述式子可簡記為 ,這裡a.s.為almost surely的縮寫。
兩者的關係
相合估計
相合估計
相合估計
相合估計
相合估計
相合估計
相合估計若對任意固定的 ,隨機變數序列 依機率收斂於 ;而 則表明對於任何 , 幾乎處處收斂於 ,可以證明,強相合估計量必為相合估計量。
相關定理
定理1
相合估計
相合估計
相合估計
相合估計
相合估計
相合估計設 在參數空間 上連續, 為 的強相合估計量,i=1,2,...,k,則 為 的強相合估計量。
定理2
相合估計
相合估計
相合估計
相合估計
相合估計
相合估計設總體有直到k(k≥2)階的矩 。 可表示為 ,且G為連續函式。記 分別為樣本原點矩和樣本中心矩,則 為 的強相合估計量。
注意:由該定理可知,矩估計量一般是強相合的。
定理3
相合估計設分布族 滿足:
(1)X是有限集;
(2)對於不同的參數值θ和θ’,所對應的分布不同;
相合估計
相合估計(3) 有共同支撐,即 與θ無關;
相合估計
相合估計
相合估計則對於簡單隨機樣本 ,θ的最大似然估計量 存在,且 為θ的相合估計量。
定理4
相合估計設分布族 滿足:
(1)θ為R(一維實空間)中的開集;
(2)不同的參數值θ和θ’,所對應的分布不同;
相合估計(3) 有共同支撐A;
相合估計
相合估計
相合估計
相合估計
相合估計
相合估計
相合估計(4) 對θ的偏導數 在X上存在,並且當簡單隨機樣本 時,似然方程 有且僅有解 ,則 ,即 為θ的相合估計量。
典例
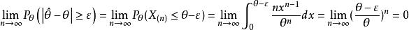
例1
相合估計
相合估計設 ,則 是θ的有偏估計,但它是相合的。
證明:
相合估計
相合估計
相合估計的密度函式為 ,此處 為A的示性函式。故對任意ε>0,有
相合估計
相合估計可見 為θ的相合估計。
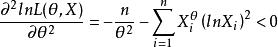
例2
相合估計設 ,證明θ的極大似然估計是相合的。
證明:似然函式為
相合估計
相合估計故有
相合估計
相合估計
相合估計可見為θ的嚴格單調下降函式。又因為
相合估計
相合估計從而有且僅有一個解。故似然方程的根必為極大似然估計量且是相合估計。

