基本介紹
漸近正態估計
漸近正態估計相合性反映了當時估計量的優良性質,但由於參數的相合估計可以不止一個,它們之間的差異可以用估計量的漸近分布的漸近方差反映出來。
漸近正態估計
漸近正態估計
漸近正態估計
漸近正態估計
漸近正態估計
漸近正態估計定義 設是的估計量,如果存在一串,滿足,其中,使得當時,有
漸近正態估計的分布收斂於N(0,1)
漸近正態估計
漸近正態估計
漸近正態估計
漸近正態估計則稱是的 漸近正態估計,稱為的 漸近方差。
漸近正態估計
漸近正態估計
漸近正態估計
漸近正態估計當樣本容量n足夠大時,對於一個漸近正態估計,可以用作為的近似分布,從而可以對進行區間估計。
容易證明,漸近正態估計一定是相合估計,但不一定是強相合估計。
漸近正態估計對某個待估參數,如果存在著漸近正態估計,這樣的估計可能並不唯一。因此漸近方差的大小就可以作為比較這些估計優劣的一個準則。
相關概念與定理
漸近正態估計
漸近正態估計
漸近正態估計
漸近正態估計
漸近正態估計
漸近正態估計最優漸近正態估計設為待估參數的一個漸近正態估計,漸近方差為,若對的任意漸近正態估計,漸近方差記內、有
漸近正態估計
漸近正態估計
漸近正態估計則稱為的 最優漸近正態估計(the best asymptotically normal estimate) 。
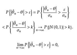
定理 漸近正態估計一定是相合估計。
漸近正態估計
漸近正態估計
漸近正態估計
漸近正態估計
漸近正態估計
漸近正態估計證明: 設是的漸近正態估計,由定義,對任意及k>0,當n充分大時必須充分小,因此,故當時有
漸近正態估計
漸近正態估計
漸近正態估計
漸近正態估計由k的任意性,令,由於,因此
漸近正態估計
漸近正態估計
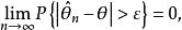
漸近正態估計即是的相合估計 。
例題解析
漸近正態估計
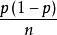
漸近正態估計例1 設X~B(1,p)(二項分布),(X,X,…,X)是X的樣本,p的一個估計量是,由中心極限定理,當時有
漸近正態估計的漸近分布為N(0,1),
漸近正態估計
漸近正態估計故是p的漸近正態估計,漸近方差為。

