基本介紹
順序統計量估計
順序統計量估計
順序統計量估計
順序統計量估計
順序統計量估計
順序統計量估計順序統計量設是總體X的樣本,將它們自小到大排成,則這個排列稱為 樣 本順序統計量。抽取一個樣本,便有一組自小到大的觀察值與之相對應,其中是觀察值中最小者,是觀察值中最大者。例如,樣本值為3.15,2.98,3.16,3.05,2.90,則其順序統計量為2.90,2.98,3.05,3.15,3.16 。
順序統計量估計法 順序統計量估計法是直觀簡便的估計法,常常是對總體的數學期望與標準差進行。
順序統計量估計設為總體X的樣本順序統計量,則稱
順序統計量估計為樣本中位數。
順序統計量估計
順序統計量估計
順序統計量估計
順序統計量估計
順序統計量估計
順序統計量估計
順序統計量估計
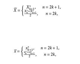
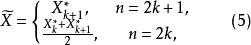
順序統計量估計樣本中位數的觀察值的取值規則是:將樣本觀察值自小到大排成順序統計量觀察值,當n為奇數(即n=2k+1)時,取居中的數據;當n為偶數(n=2k)時,取居中兩個數據的平均值,即
順序統計量估計
順序統計量估計從中位數的含義可見,它帶來了總體X取值的平均數信息,因此,用於估計總體X的數學期望是合適的。用樣本中位數估計總體X的數學期望的方法,稱數學期望E(X)的順序統計量估計法。其結果也有估計量與估計值之分 。
例題解析
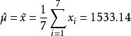
順序統計量估計為了估計某批燈泡的平均壽命[即壽命X的數學期望E(X)],隨機抽取7個燈泡測得壽命數據為(單位:h):1 575,1 503,1 346,1 630,1 575,1 453,1 650。
順序統計量估計試用順序統計量估計法估計。
順序統計量估計解: 因為樣本順序統計量觀察值為:1 346,1 453,1503,1575,1 575,1 630,1 650,n=7為奇數,所以由式(5)得的順序統計量估計值為
順序統計量估計若用矩估計法,則得
順序統計量估計兩種估計法所得結果稍有差異。
順序統計量估計用樣本中位數估計總體X的數學期望的優點是:
順序統計量估計(1)計算簡便。這一優點可直接從中位數的取值規定看出。
順序統計量估計
順序統計量估計
順序統計量估計(2)所得估計值不易受個別異常數據影響。例如,在壽命試驗的樣本值中,發現某一個數據異常小(比如說,在上例所得樣本觀察值中,由於工作人員粗心,將1346誤記成134),在作統計推斷時,一定會提出疑問:這個異常小的數據是總體X的隨機性造成的,還是受外來干擾造成的呢?當原因屬於後者(如記錄錯誤),那么用樣本平均值估計E(X)時顯然受到影響(使估計值偏低)。但用樣本中位數估計E(X)時,由於一個(甚至幾個)異常小(或異常大)的數據不易改變中位數的取值,這種特點常說成具有穩健性。讀者一定見過:當有n位評審對某人藝術表演評分,裁判計算表演者得分時,總是先去掉一個最高分,去掉一個最低分,然後取n-2個保留分的平均值,這實際上是綜合運用順序統計量法與矩估計法的結果,如果評審只有三位或四位,則上述評分方法就是順序統計量法,也稱中位數法。
順序統計量估計
順序統計量估計
順序統計量估計(3)簡化試驗過程。在壽命試驗中,個別樣品壽命很長,這是常有的現象(如上例)中,若有一個燈泡壽命為1 950 h,比平均壽命1 575 h長很多)。等待n個壽命試驗全部結束,然後對平均壽命作估計,時間花得太多。如果確定用順序統計量法估計總體的數學期望,那么,將n個試驗同時進行,只要有超過半數的試驗得到了壽命數據,無論其餘試驗結果如何,都可得到樣本中位數的取值。例如,在上例中,7個壽命試驗同時進行,只要完成4個試驗,並得=1 575(h),便得到了總體平均壽命的順序統計量估計值為1 575(h)。如果沒有其它需要,壽命試驗即可結束。
順序統計量估計順序統計量也可用於對總體X的標準差作估計 。
用順序統計量估計參數
樣本中位數和樣本極差都是順序統計量的函式,這類函式計算簡便,且樣本中位數不受樣本中異常值的影響.無論x服從何種分布,都可以樣本中位數殳作為總體均值E(x)的估計量,以樣本極差作為總體標準差的估計量,不過這種
估計一般來說比較粗糙,對於正態總體,樣本中位數的漸近分布由下面的定理給出。
順序統計量估計
