基本介紹
相合檢驗
相合檢驗
相合檢驗
相合檢驗
相合檢驗
相合檢驗
相合檢驗
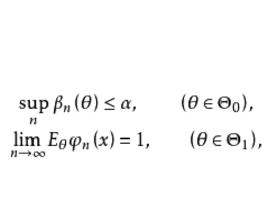
相合檢驗相合檢驗(consistent test)亦稱 相容檢驗,是一種大樣本性質滿足的假設檢驗。設總體分布族為,為的真子集且非空。假定對每個樣本確定了關於檢驗問題的一個檢驗,以記其 功效函式,如果存在,且
相合檢驗
相合檢驗
相合檢驗
相合檢驗
相合檢驗則稱為 相合檢驗。若這裡的收斂關於θ是一致的,則稱為 一致相合檢驗,當一致相合檢驗存在時,稱和是 有限可辨識的 。
相合性
相合性也叫做一致性,用樣本指標估計總體指標時,隨著樣本容量的增大,估計量越來越接近總體指標的真值,就稱這個估計量為 相合估計量或 一致估計 量。可用公式表示為
相合檢驗
相合檢驗
相合檢驗
相合檢驗式中,為任意小的數,說明隨著樣本容量n的增大,與之間的離差可以控制在任意小的範圍內。
相合檢驗
相合檢驗
相合檢驗
相合檢驗
相合檢驗根據大數定律可以證明,樣本均值是總體均值的相合估計量,樣本比例是總體比例P的相合估計量,樣本方差是總體方差的相合估計量 。
相合檢驗估計量的無偏性與有效性是在固定樣本容量時的估計量的性質,當樣本容量n越大時,自然希望對未知參數的估計值越精確,這就是估計量的相合性的樸素想法。
通俗地講,相合性就是樣本的估計值與總體的真值相互吻合的特性,相合性的定義給出了估計值與真值相互吻合的標準,使用的是依機率收斂,這是一種弱收斂,在大多數情況下,已經足夠了。
估計量具有相合性是非常合理的,這也是對估計量的一個基本要求,對於一個估計量,如果在樣本容量不斷增大時,不能把被估參數估計到任意指定的精度範圍內,那么這個估計是值得懷疑的,估計量的相合性通常套用大數定律證明。

