基本內容
直線的基本性質(公理): (1)經過兩點有一條直線,並且只有一條直線。(2)兩條直線相交,只有一個交點。因為直線是不定義的名詞,對直線概念的理解往往靠上述的基本性質。
套用舉例
直線公理
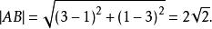
直線公理【例1】已知點 ,求 的面積。
圖1
直線公理
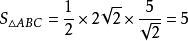
直線公理解: 如圖1,設 邊上的高為 ,則
直線公理
直線公理
直線公理
直線公理
直線公理
直線公理邊上的高為 就是點 到 的距離。
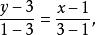
直線公理邊所在直線的方程為
直線公理
直線公理即 。
直線公理
直線公理點 到 的距離
直線公理
直線公理因此, 。
直線公理實際上,在以上解法中求直線 的方程可以不用兩點式,可以運用 直線 公理“兩點確定一條直線”通過觀察簡潔求解:
直線公理
直線公理
直線公理由點 及 ,得點 均在直線
直線公理
直線公理
直線公理上,由“兩點確定一條直線”知,直線AB就是直線 ,即直線AB的方程是 。
直線公理
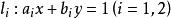
直線公理【例2】 已知兩條相交直線 的交點是(5,3),求過兩點 的直線的方程。
直線公理
直線公理
直線公理
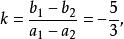
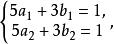
直線公理解:可得 所以 (否則 ,兩條直線 重合),把兩個等式相減,得
直線公理所以所求直線的斜率為
直線公理所求直線的方程為
直線公理
直線公理
直線公理
直線公理
直線公理
直線公理簡解: 由“兩條相交直線 ”知.點“ ”是不同的兩點,還可得 。
直線公理
直線公理
直線公理
直線公理
直線公理
直線公理
直線公理
直線公理
直線公理
直線公理由 知,點, 在直線 上;由 知,點 也在直線 上,所以由“兩點確定一條直線”知,直線 就是直線 ,即直線 的方程是 。
直線的相關公理
關於直線的基本性質,是用下面一組公理描述的 。
阿基米德公理
直線公理
直線公理對於任意線段 ,如圖2,存在一個自然數 ,使得
直線公理
圖2
直線公理阿基米德公理是說,無論線段OP如何小,點M離點O無論多遠,用線段OP在直線上連續截取足夠的次數,將得到終點Q,點Q在點M的右邊,即 。
稠密性公理
直線公理
直線公理對於直線上任意兩個不同的點 ,在直線上至少存在一點 介於點A和點B之間,如圖3。
圖3由公理很容易得到下面的推論。
推論 在直線上的點A與點B之間,存在著無限多個點。
連續性公理
直線公理對於直線上的線段 的無窮序列,如果滿足:
直線公理(1) ;
直線公理
直線公理
直線公理(2) 對於給定的任一小的線段 ,總存在一個數 使得 ,如圖4,
直線公理
直線公理
直線公理那么存在唯一的點 ,使得 (對一切 ),這個公理也叫做 退縮線段原理,圖5是它的幾何解釋 。
圖4
圖5
