複合理論
複合過程屬於統計性過程。任何半導體在熱平衡態時,都有一定數目的導帶電子和價帶空穴,但是,它們並不是永遠停留在導帶和價帶,由於半導體內部的相互作用,電子和空穴在相遇時有一定的幾率複合。同樣價帶中的電子有一定的幾率激發到導帶中去,從而產生電子-空穴對。在熱平衡情況下,電子和空穴的產生與複合,可以達到一個動態平衡,從而使載流子濃度維持不變。
半導體在外界作用下,產生非平衡載流子,熱平衡被破壞。這時,電子和空穴的複合與產生不再相抵消。當外界作用去掉後,半導體由非平衡態向平衡態過渡,引起非平衡載流子的複合。載流子的複合過程大致可以分為直接複合和間接複合。
非平衡載流子的複合率
無論何時,半導體中總存在著載流子產生和複合兩個相反的過程。通常把單位時間和單位體積內複合掉的電子-空穴對數稱為複合率。半導體中的自由電子和空穴在運動中會有一定的幾率直接相遇而複合,使一對電子和空穴同時消失。從能帶角度講,就是導帶中的電子直接落入價帶與空穴複合即所謂的直接複合。
單位體積內,每一個電子在單位時間內都有一定的幾率和空穴相遇而複合,若n和p分別表示電子濃度和空穴濃度,則複合幾率顯然和空穴濃度成正比,可以用γp表示,於是電子-空穴發生直接複合的複合率R就有如下的形式:
直接複合式①
比例係數γ稱為電子-空穴複合幾率。因為不同的電子和空穴具有不同的熱運動速度,一般來說,它們的複合幾率與它們的運動速度有關。這裡g表示不同熱運動速度的電子和空穴複合幾率的平均值。在非簡併半導體中,電子和空穴的運動速度遵守玻耳茲曼分布,因此,在一定溫度下,可以求出載流子運動速度的平均值,所以γ也有完全確定的值,它僅是溫度的函式,而與n和p無關。這樣式①就表示複合率正比於n和p。
在一定溫度下,價帶中的每個電子都有一定的幾率被激發到導帶,從而形成一對電子和空穴。在非簡併、小注入的情況下,可以認為價帶基本上都是滿的,而導帶基本上是空的,激發幾率不受載流子濃度n和p的影響,因而產生率在所有非簡併情況下,基本上都是相同的。如用G表示產生率,則G僅是溫度的函式,而與n和p無關。
熱平衡時,產生率G必等於複合率R ,即:
G=R 式②
此時式①中的n和p用熱平衡時的值n和p代入,根據上式便得到:
直接複合式③
在非平衡情況下,如撤銷外界作用,則複合率R和產生率(這時G=G )不再相等。因此,由複合率減去產生率便得到電子-空穴對的淨複合率:
直接複合式④
直接複合
直接複合
直接複合把 、 以及 代入上式,得到:
直接複合式⑤
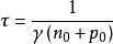
非平衡載流子的壽命
直接複合如引入壽命 ,則複合率可表示成:
直接複合由此可得到非平衡載流子的壽命為:
直接複合式⑥
直接複合
直接複合由上式可以看出,γ越大,淨複合率越大, 值越小。壽命 不僅與平衡載流子的濃度n和p有關,而且還與非平衡載流子的濃度有關。
在小注入條件下,式⑥近似為:
直接複合對於雜質半導體,n和p中一個遠大於另一個,因此有:
n型半導體:
直接複合p型半導體:
直接複合這說明,在小注入條件下,在溫度和摻雜一定時,壽命是一個常數。壽命與多數載流子濃度成反比;或者說,半導體的電導率越高,壽命就越短。
在大注入時,式⑥近似為:
直接複合
直接複合
直接複合壽命隨非平衡載流子濃度而改變,因而在複合過程中,壽命不再是常數。壽命 的大小,取決於複合幾率γ的大小。又由式③可知,只要能知道G,就能求得γ。根據本徵光吸收的數據,結合理論計算可求得G,因而可求出γ的值。理論計算得到室溫時本徵鍺和矽的γ和 的值如下:
直接複合
直接複合鍺:,
直接複合
直接複合矽:,
但是,鍺、矽材料的實際壽命比上述數據要低得多,最大壽命值不過是幾毫秒左右。這個事實說明,對於鍺和矽,壽命主要還不是由直接複合過程所決定,一定有另外的複合機構起著主要作用,決定著材料的壽命,這就是間接複合。

