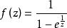
函式exp(1/z),在z=0處具有本性奇點。z的色相表示它的輻角,而發光度則表示絕對值。這個圖像說明了接近於奇點時,可以取得任何非零的值。
皮卡小定理
皮卡定理
皮卡定理皮卡小定理說明,如果函式 是整函式且不是常數,則 的值域或者是整個複平面,或者只去掉一個點。 這個定理在1879年證明。它強化了劉維爾定理:任何不是常數的整函式都一定是無界的。
皮卡的原始證明利用了模函式(Modular lambda function)。
證明概要如下:
皮卡定理
皮卡定理
皮卡定理
皮卡定理
皮卡定理
皮卡定理
皮卡定理
皮卡定理
皮卡定理若 的值域不包含複平面上的兩個點,不失一般性地,可以假設 的值域不包含0和1,設 是其值域中的點,在這個點附近,可以選取模函式 的逆的某個單值解析分支,記作 。利用模函式的通用覆蓋性和單值性定理,可以將 點( )附近定義的複合映射 解析延拓到整個複平面上,從而得到一個在複平面上單值解析但有界的函式。根據劉維爾定理,該函式為常函式。因此 也是常函式。
皮卡大定理
皮卡定理
皮卡定理如果 在點w具有本性奇點,那么在任何含有w的開集中,對任意非∞的複數值A,有無窮多個z使得 ,A最多只有一個例外。 以上定理是說,全純函式在本性奇點的任意鄰域內,“無窮多次”地取到每一個有限的復值,至多有一個例外值。 這個定理強化了魏爾施特拉斯-卡索拉蒂定理,它只保證了f的值域在複平面內是稠密的。
性質
皮卡定理
皮卡定理這個“唯一的例外”實際上在兩個定理中都是需要的:指數函式 是一個整函式,永遠不能是零。 在0處具有本性奇點,但仍然不能取得零。
皮卡定理
皮卡定理
皮卡定理
皮卡定理皮卡大定理在一個更一般的形式中也是正確的,可以套用於亞純函式:如果M是一個黎曼曲面,w 是M上的一個點,表示黎曼球面, \是一個全純函式,在w處具有本性奇點,那么在M的任何含有w的開子集中,函式f都可以取得除了兩個點以外的所有的點。
皮卡定理例如,亞純函式在z = 0處具有本性奇點,在0的任何鄰域內都無窮多次取得值∞;但它無法取得0或1的值。
皮卡小定理可以從皮卡大定理推出,因為整函式要么是多項式,要么在無窮遠處具有本性奇點。
皮卡定理介紹
皮卡定理是兩個不同的數學定理的泛稱,由法國數學家埃米爾·皮卡證明。這兩個定理都涉及解析函式的值域。
