簡介
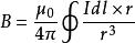
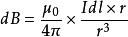
畢-薩-拉定律是恆定電流產生磁場的規律。在真空中,恆定電流元矢量Idi在空間一點P產生的磁感應強度dB為
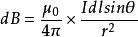
畢-薩-拉定律式中di為載流導線的線元,其方向為電流的方向;r為電流元到P點的徑矢;μ0=4π×10-7亨利/米(H/m)是真空磁導率。dB的大小為
畢-薩-拉定律式中θ為di和r的夾角;dB的方向垂直於電流元和徑矢構成的平面,由右手螺旋定則確定;I、di和r、dB的單位分別為安培、米、特斯拉。
整個恆定電流迴路在P點產生的磁感應強度B等於其中各電流元在P點產生的dB的矢量和,即
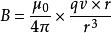
畢-薩-拉定律運動電荷也產生磁場,當電荷q以遠小於光速c的速度v勻速運動時,產生的磁感應強度為
畢-薩-拉定律即將上述Idi代之以qv,可見畢-薩-拉定律是對低速運動電荷才成立的近似定律。
畢-薩-拉定律可以看成是電流元相互作用的安培定律的一部分。由畢-薩-拉定律證明的磁場的高斯定律和安培環路定理表明,磁場具有無源有旋的性質。畢-薩-拉定律還提供了計算磁場分布的方法,但要求電流分布具有某些對稱性,否則積分有困難。
作用力
為了揭示電流對磁極作用力的普遍定量規律,J.B.畢奧和F.薩伐爾認為電流元對磁極的作用力也應垂直於電流元與磁極構成的平面,即也是橫向力。他們通過長直和彎折載流導線對磁極作用力的實驗,得出了作用力與距離和彎折角的關係。在P.S.M.拉普拉斯的幫助下,經過適當的分析,得到了電流元對磁極作用力的規律。根據近距作用觀點,它被理解為電流元產生磁場的規律。

