中文別名:1,1ˊ-二硫化二甲脒二鹽酸鹽;二硫化甲脒二鹽酸鹽;甲脒二硫醚二鹽酸鹽;二硫化甲脒.二鹽酸鹽
英文名稱:Formamidine disulfide dihydrochloride
英文別名:1,1'-dithiodi-formamidindihydrochloride; 1,1'-dithioformamidinedihydrochloride; dithioformamidinedihydrochloride; guanyldisulfidedihydrochloride; thioperoxydicarbonimidicdiamide((h2n)c(nh)2s2),dihydrochloride;
CAS號:14807-75-1
EINECS號:238-876-3
分子式:CH7Cl2N2S2
分子量:182.11568
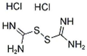
分子結構:(右圖)
InChI:InChI=1/CH4N2S2.2ClH/c4-2-1-3-5;;/h1-2H,3H2;2*1H
熔點:172-174℃

