簡介
活體細胞不停地進行新陳代謝活動,就必須不斷地與周圍環境進行物質交換,而細胞膜上的離子通道就是這種物質交換的重要途徑.人們已經知道,大多數對生命具有重要意義的物質都是水溶性的,如各種離子,糖類等,它們需要進入細胞,而生命活動中產生的水溶性廢物也要離開細胞,它們出入的通道就是細胞膜上的離子通道.離子通道由細胞產生的特殊蛋白質構成,它們聚集起來並鑲嵌在細胞膜上,中間形成水分子占據的孔隙,這些孔隙就是水溶性物質快速進出細胞的通道.離子通道的活性,就是細胞通過離子通道的開放和關閉調節相應物質進出細胞速度的能力,對實現細胞各種功能具有重要意義.兩名德國科學家埃爾溫·內爾和貝爾特·扎克曼即因發現細胞內離子通道並開創膜片鉗技術而獲得1991年的諾貝爾生理學獎.
研究簡史
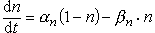
在生物電產生機制的研究中發現了生物膜對離子通透性的變化。1902年J.伯恩斯坦在他的膜學說中提出神經細胞膜對鉀離子有選擇通透性。1939年A.L.霍奇金與A.F.赫胥黎用微電極插入槍烏賊巨神經纖維中,直接測量到膜內外電位差。1949年A.L.霍奇金和B.卡茨在一系列工作基礎上提出膜電位離子假說,認為細胞膜動作電位的發生是膜對納離子通透性快速而特異性地增加,稱為“鈉學說”。尤其重要的是,1952年A.L.霍奇金和A.F.赫胥黎用電壓鉗技術在槍烏賊巨神經軸突上對細胞膜的離子電流和電導進行了細緻地定量研究,結果表明Na+和K+的電流和電導是膜電位和時間的函式,並首次提出了離子通道的概念。他們的模型 (H-H模型)認為,細胞膜的K+通道受膜上4個帶電粒子的控制,當4個粒子在膜電場作用下同時移到某一位置時,K+才能穿過膜。設n是一個粒子位於通道位置的幾率,則 K+電導為:
(1)
(2)
對Na+電導,認為有3個帶電粒子同時控制通道的開放(活化),每個粒子位於活化位置的幾率是m,一個粒子負責通道的失活,失活幾率是1-h,則通道的開放幾率為m3h,Na+電導可寫為:
(3)
(4)
(5)
和
為最大K+和Na+電導,αn、βn、αm、βm、αh、βh分別表示相關過程的速率常數,它們是膜電位的函式。 另一方面,1955年,卡斯楚和B.卡茨對神經-肌肉接頭突觸傳遞過程的研究發現:突觸後膜終板電位的發生,是由於神經遞質乙醯膽鹼(Ach)作用於終板膜上受體的結果,從而確認了受化學遞質調控的通道。60年代,用各種生物材料對不同離子通透性的研究表明,各種離子在膜上各自有專一性的運輸機構,曾經提出運輸機構是載體、洞孔和離子交換等模型。1973年和1974年,C.M.阿姆斯特朗、F.貝薩尼利亞及R.D.凱恩斯、E.羅賈斯兩組分別在神經軸突上測量到與離子通道開放相關的膜內電荷的運動,稱為門控電流,確認了離子通道的開放與膜中帶電成分運動的依從性。1976年E.內爾和B.薩克曼創立了離子單通道電流記錄技術,並迅速得到推廣套用,近年用這種技術發現了一些新型離子通道,為深入研究通道的結構和功能提供了有力的工具。
80年代初,學者們先後從細胞膜上分離和純化了一些運輸離子的功能性蛋白質,並在人工膜上成功地重建了通道功能,從而肯定了離子通道實體就是膜上一些特殊蛋白質分子或其複合物。近年,科學家套用基因重組技術研究離子通道的結構,1982和1984年,紐莫及合作者先後測定了N型Ach受體和 Na+通道蛋白的胺基酸序列。
研究方法
離子通道結構和功能的研究需綜合套用各種技術,包括:電壓和電流鉗位技術、單通道電流記錄技術、通道蛋白分離、純化等生化技術、人工膜離子通道重建技術、通道藥物學、基因重組技術及一些物理和化學技術。
電壓鉗位技術
一般而言,膜對某種離子通透性的變化是膜電位和時間的函式。用玻璃微電極插入細胞內,利用電子學技術施加一跨膜電壓並把膜電位固定於某一數值,可以測定該膜電位條件下離子電流隨時間變化的動態過程。利用藥物或改變細胞內外的溶液成分,使其他離子通道失效,即可測定被研究的某種離子通道的功能性參量,分析離子電流的穩態和動力學與膜電位、離子濃度等之間的關係,可推斷該種通道的電導、活化和失活速率、離子選擇性等,並能測量和分析通道的門控電流的特性。
單通道電流記錄技術
又稱膜片鉗位技術,用特製的玻璃微吸管吸附於細胞表面,使之形成10~100GΩ的密封(giga-seal),被孤立的小膜片面積為μm2量級,內中僅有少數離子通道。然後對該膜片實行電壓鉗位,可測量單個離子通道開放產生的pA(10-12安培)量級的電流,這種通道開放是一種隨機過程。通過觀測單個通道開放和關閉的電流變化,可直接得到各種離子通道開放的電流幅值分布、開放幾率、開放壽命分布等功能參量,並分析它們與膜電位、離子濃度等之間的關係。還可把吸管吸附的膜片從細胞膜上分離出來,以膜的外側向外或膜的內側向外等方式進行實驗研究。這種技術對小細胞的電壓鉗位、改變膜內外溶液成分以及施加藥物都很方便。
通道藥物學研究
套用電壓鉗位或單通道電流記錄技術,可分別於不同時間、不同部位(膜內側或外側)施用各種濃度的藥物,研究它們對通道各種功能的影響。結合對藥物分子結構的了解,不但可以深入了解藥物和毒素對人和動物生理功能作用的機制,還可以從分子水平得到通道功能亞單位的類型和構象等信息。
通道蛋白分離、通道重建和基因重組技術
利用與通道特異結合的毒劑標記,可把通道蛋白質從膜上分離下來,經過純化,可以測定各亞單位多肽的分子量。然後,把它們加入人工膜,可重新恢復通道功能。用於確定蛋白質胺基酸序列的基因重組技術的程式是:從細胞中分離出含有與該種通道蛋白相關的mRNA,置入某種細胞(如大腸桿菌),經逆轉錄得到cDNA。用限制性內切酶將cDNA切割成特定片段,再用核酸雜交方法釣出特定的DNA並克隆化。通過測定陽性克隆DNA的核苷酸順序,推斷出相應的蛋白質胺基酸序列。
類型和功能特徵
離子通道依據其活化的方式不同,可分兩類:一類是電壓活化的通道,即通道的開放受膜電位的控制,如Na+、Ca+、Cl-和一些類型的K+通道;另一類是化學物活化的通道,即靠化學物與膜上受體相互作用而活化的通道,如 Ach受體通道、胺基酸受體通道、Ca+活化的K+通道等。
鈉通道
各種生物材料中,與電興奮相關的Na+通道有相似的基本特徵。通道活化時間常數小於1毫秒,失活時間常數為數毫秒,Na+電流的反轉電位約+55毫伏。單通道電流記錄顯示,Na+單通道電導為4~20pS,平均開放壽命數毫秒。Na+通道對一價鹼金屬離子的選擇通透性比率是:

根據一些藥物和毒素對Na+通道功能的不同影響,可分為4種類型:①通道阻斷劑,如河豚毒素(TTX)、石房蛤毒素(STX)。②通道活化增強劑,如β-蠍毒、箭毒蛙毒素(BTX)、藜蘆鹼毒素(VER)等。③通道活化抑制劑,如一些局部麻醉劑及其衍生物。④通道失活抑制劑,如鏈霉蛋白酶、N-溴乙醯胺(NBA)等。
鉀通道
根據功能特性的不同,K+通道可分為以下類型:①慢(延遲)K+通道(K通道),也就是H-H模型中的K+通道。單通道電流記錄顯示,單個K通道電導在2~20pS,通道平均開放壽命為數十毫秒。該種通道可被四乙胺(TEA)等特異性阻斷,通道對K+有高度選擇性,但R姾和NH嬃亦能通過,這種通道在神經軸突和骨骼肌細胞膜中有較高密度。②快(早期)K+通道(A通道),該種通道外向的K+流在膜去極化的早期就出現,表明通道的活化時間常數比慢K+通道小得多,但在-40毫伏以上該通道即關閉。電壓鉗位實驗表明,其巨觀電流動力學與Na+電流相似。較低濃度的4-氨基吡啶即能阻斷該通道,它也可被四乙胺阻斷。③Ca2+活化的K+通道〔K(Ca)通道〕,該種通道的開放,不但與膜電位有關,而且依賴於細胞內Ca2+的濃度,每個通道需結合兩個Ca2+才能活化。單通道電導可高達300pS,並有較長的開放壽命,這種通道與Ca2+通道協同作用,對調節細胞膜電興奮性的節律有重要意義。它可被四乙胺、N'-四乙酸(EGTA)、奎尼丁和Ba2+阻斷。④內向整流的K+通道,其特徵是:在膜超極化時通道開放與膜電位和胞外K+濃度密切相關,通道開放時產生內向K+電流,單通道電導在5~10pS範圍。
鈣通道
Ca2+通道廣泛存在於各種生物組織的細胞膜中。巨觀的Ca2+電流動力學特徵與Na2+電流相似,但峰值小且失活過程慢,可達數十到數百毫秒。Ca2+通道對Ca2+、Ba2+、Sr2+都有高通透性,但Ni2+、Cd2+、Co2+、Mn2+等離子能有效地阻斷Ca2+通道。藥物對Ca2+通道的作用可分為:①通道阻斷或抑制劑,可分為苯烷基胺類(如異博定、甲基異博定D600)、苯硫氮類、雙氫吡啶類等類型。②通道激活劑,一些雙氫吡啶化合物如BayK8644等藥物可活化Ca2+通道。近年,對小雞背根神經節細胞的研究發現有3種類型的Ca2+通道:①L型,該種通道在膜電位大於-20毫伏時活化,電流失活緩慢。單通道電導約25pS。②T型,膜電位約-60毫伏時通道即活化,-10毫伏以上通道電流幅值反而下降,單通道電導約8pS。③N型,該種通道在膜電位不小於-10毫伏才能活化,但又必須超極化到-80毫伏以下才能克服通道的失活。電流動力學比 L型快但比T型慢,單通道電導約13pS。以上3類Ca2+通道在不同細胞膜上選擇性分布及密度的差別,將影響各種細胞的生理功能。Ca2+通道除了對細胞電興奮性有貢獻外,它通過調節細胞內Ca2+濃度,可進一步調節許多細胞功能。
N型乙醯膽鹼受體通道
它是由神經遞質Ach活化的正離子通道。當突觸前膜一次量子化釋放數千個 Ach分子,它們作用於突觸後膜上的N型受體時,受體通道開放,產生Na+和K+電流,引發突觸後膜一個小終板電位(mEPP)。N-AchR單通道電導在20~60pS範圍,平均開放壽命數毫秒,通道電流反轉電位約-10毫伏,近年發現該種通道有多種電導態(見圖)。
生物膜離子通道80年代以來,已發現多種由神經遞質和激素活化的受體通道,如谷氨酸受體通道、多巴胺受體通道、5-羥色胺受體通道、γ-氨基丁酸受體通道等。
分子構象和門控動力學
離子通道研究的前沿是試圖從分子水平揭示通道蛋白的空間構象、構象變化與通道門控動力學之間的關係。N-AchR通道
已測定了受體蛋白質分子量是250000,並測定了它的全部胺基酸序列,確證該受體通道由
、α、γ和δ5個亞基組成,這4種亞基有相似的胺基酸順序,但只有α亞基上有 α-BGTX的特異結合位點。一種構象模型是:5個亞基各有若干個α螺鏇跨膜排列,共同形成五瓣狀的蛋白質複合物,兩個α亞基間是親水的離子通道,通道開口約25埃,中間是6~7埃的狹窄孔道,其中排列有負電性胺基酸殘基側鏈。當兩個 Ach分子分別結合於兩個α亞基特定位點後,引起局部構象變化,使通道開放,可用以下模式描述其動力學過程: 
等分別表示每一步反應的速率常數。 鈉通道
從電鰻電板分離的鈉通道蛋白質分子量是208321,是由1820個胺基酸組成的多肽序列,可分為4個相似的區段,每個區段中分別有較集中的正電性和負電性的胺基酸序列節段。多種鈉通道構象模型的共同特徵是:由多個α螺鏇跨膜排列組成通道,通道內側應富含極性的胺基酸殘基側鏈,每個通道的控制部分由離子選擇性濾器、活化閘門和失活閘門3部分組成,其實體是胺基酸側鏈的極性基團。膜電位變化時,電場誘導極性基團運動,使通道局部構象發生變化,導致通道的開放、失活或關閉,並產生門控電流。一種動力學模式如下:![]() |
參考書目
B.Hille,Ionic Channels of excitable Membranes,Plenum Press,New York,1984.
R.Lalorre ed.,Ionic Channels in Cells and Model Systems, Plenum Press,New York,1986.
B.Sakmann, E.Neher,Single-Channel Recording, Plenum Press,New York,1983.


