霍奇金介
A.L.霍奇金A.L.霍奇金英國生理學家。1914年2月5日生於英國牛津郡班伯里。1936年畢業於劍橋大學。1937~1938年他在美國洛克菲勒研究所和麻薩諸塞工作。第二次世界大戰期間他為英國空軍部研究雷達。戰後他回到劍橋。1945~1952年他在劍橋大學生理系任講師和研究指導助理,1952年他成為福勒頓研究教授1970年他被聘為劍橋大學生物物理教授,在以後的年代裡他被委任為萊斯特大學的名譽校長。
學術成就
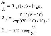
A.L.霍奇金A.L.霍奇金他在生理學上的主要貢獻是對神經電活動的性質進行了定量的研究、套用數學公式描敘了神經衝動並提出鈉學說以說明產生的機理。1945年,他和英國生理學家A.F.赫胥黎套用微電極技術在槍烏賊 (Lolio forbesi) 的巨大軸突(直徑約0.8毫米)上測量膜電位。他們第一次記錄了跨神經細胞膜的電變化,發現當靜息狀態時細胞膜內外存在電位差神經膜外是正的、膜內是負的,當神經衝動傳導時,膜電位的極性發生翻轉,即膜內是正、膜外是負,動作電位要比靜息電位大的多1951年他與A.F.赫胥黎和B.卡茨提出鈉學說來解釋神經纖維的靜息電位與動作電位的差異。他認為在靜息狀態神經膜只允許鉀離子擴散出膜外而形成電位,當神經時膜對鈉離子的通透性特異性地迅速增加,使膜外高濃度的鈉離子進入膜內而使膜內變正,接著膜內鉀離子也外流而使膜恢復極化。
神經衝動
A.L.霍奇金A.L.霍奇金1952年他與卡茨套用電壓固定技術測量了跨神經膜的離子流動證實了上述假設,發現在開始時鈉離子向膜內流動,1毫秒後又有向外的鉀電流產生,由測得的數值按數學公式進行理論計算的結果與實驗中測得的動作電位的數值相當符合。神經興奮的後果是神經纖維獲得少量鈉離子和失去同量的鉀離子。在他以後的實驗中又證實,從槍烏賊軸突內要排出鈉離子和攝取鉀離子回膜內是需要代謝能量的,屬主動運轉過程,因而又提出存在“鈉泵”的假設。他提出的鈉學說由於有較多的實驗事實支持,得到普遍的公認。現在已確定“鈉泵”是一種蛋白質,稱為Na(-K(激活ATP酶,並已能提純。他在1958年獲得皇家學會的皇家獎章並與A.F.赫胥黎和另一位澳大利亞生理學家共同獲得1963年諾貝爾生理學或醫學獎。1970~1975年他被委任為英國皇家學會主席。他著有《神經衝動的傳導》一書(1963)。

