如果這特定函式是多項式,就稱它為插值多項式。利用插值基函式很容易得到拉格朗日插值多項式,公式結構緊湊,在理論分析中甚為方便,但當插值節點增減時全部插值基函式均要隨之變化,整個公式也將發生變化,這在實際計算中是很不方便的,為了克服這一缺點,提出了牛頓插值。
牛頓插值法的特點在於:每增加一個點,不會導致之前的重新計算,只需要算和新增點有關的就可以了。
假設已知n+1n+1個點相對多項式函式ff的值為:(x0,f(x0)),(x1,f(x1)),(x2,f(x2)),⋯,(xn,f(xn))(x0,f(x0)),(x1,f(x1)),(x2,f(x2)),⋯,(xn,f(xn)),求此多項式函式f。
先從求滿足兩個點(x0,f(x0)),(x1,f(x1))(x0,f(x0)),(x1,f(x1))的函式f1(x)f1(x)說起:
假設f1(x)=f(x0)+b1(x−x0)f1(x)=f(x0)+b1(x−x0),
現在我們增加一個點,(x0,f(x0)),(x1,f(x1)),(x2,f(x2))(x0,f(x0)),(x1,f(x1)),(x2,f(x2)),求滿足這三個點的函式f2(x)f2(x):
假設f2(x)=f1(x)+b2(x−x0)(x−x1)f2(x)=f1(x)+b2(x−x0)(x−x1),
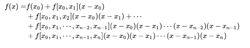
以此類推,我們得到牛頓插值法為:
牛頓插值法