燃料供給調節系統要求
壓燃式內燃機是在氣缸內部形成混合氣,即在活塞接近上止點時,燃料供給與調節系統將燃料以高壓、在極短的時間內噴入氣缸,實現燃油與空氣的混合和燃燒。因此,對燃料供給與調節系統,無論是在製造與調整精度,還是在與整機的參數匹配方面均有十分嚴格的要求,為了保證壓燃式內燃機在動力性、經濟性、排放與噪聲等方面達到優良的性能,對其燃料供給與調節系統提出以下要求:
1)能產生足夠高的噴油壓力,以保證燃料良好的霧化混合與燃燒,且燃油油束需與內燃機燃燒室和氣流運動相匹配,保證油氣混合均勻。
2)對每一個內燃機運轉工況(一定的轉速與負荷組成一個工況),精確控制每循環噴入氣缸的燃油量,且噴油量能隨工況變化而自動變化。在工況不變時,各循環之間的噴油且應當一致。對多缸內燃機而言,各缸的噴油量應當相等。
3)在內燃機所運轉的工況範圍內,儘可能保持最佳的起始噴油時刻、噴油持續時間與噴油規律,以保證良好的燃燒並取得優良的綜合性能。
系統構成
在壓燃式內燃機出現早期,燃油噴射是通過高壓空氣實現的。1927年,德國博世(Bosch)公司開始專業生產以螺旋槽柱塞旋轉方式調整供油量的機械式噴油泵,這種噴油泵的工作原理至今仍用於多數壓燃式內燃機的燃料供給系統中。圖6—1所示為典型的燃料供給與調節系統簡圖。
燃料供給調節整個系統由低壓油路(油箱8、輸油泵5、燃料濾清器3及低壓油管)、高壓油路(噴油泵6、高壓油管13、噴油器11)和調節系統(離心式調速器9、自動供油提前器7)組成;其核心部分是高壓油路所組成的噴油系統,人們也把這種傳統的燃料供給系統稱之為泵-管-嘴系統。
系統分類及套用
在這種系統中,噴油泵有柱塞式噴油泵和轉子分配式噴油泵兩種。
對柱塞式噴油泵,每個柱塞元件對應於一個氣缸,多缸內燃機所用的柱塞數和氣缸數相等且合為一體,構成合成式噴油泵;
對小型單缸和大型多缸內燃機,常採用每個柱塞元件獨立組成一個噴油泵,稱之為單體噴油泵。
轉子分配式噴油泵是用一個或一對柱塞產生高壓油向多缸內燃機的氣缸內噴油,這種泵主要用於小缸徑高速壓燃式內燃機上,其製造成本較低。
在上述泵—管—嘴燃料供給系統中,由於有高壓油管的存在,使噴油系統在內燃機上的布置比較方便與靈活,加上已積累了長期製造與匹配的理論與經驗,因此,目前仍在各種壓燃式內燃機上得到廣泛套用。
也正由於高壓油管的存在,降低了整個燃料供給系統高壓部分的液力剛性,難於實現高壓噴射與理想的噴油規律,也使這種傳統燃料供給系統的套用前景受到一定限制。
為了滿足壓燃式內燃機不斷強化及日益嚴格的排放與噪聲法規的要求目前正在大力發展各種高壓、電控的燃料噴射系統,如採用短油管的單體泵系統、泵噴嘴與PT系統、蓄壓式或共軌系統等等。
壓燃式內燃機燃料噴射過程
噴油系統機構
噴油過程柱塞封閉進、回油孔開始壓油到柱塞斜槽上邊緣與回油孔相通開始回油所經歷的升程,稱之為噴油泵柱塞的有效行程he,它的大小與循環供油量有關.決定了噴油器循環噴油量的大小。
幾何供油規律和噴油規律
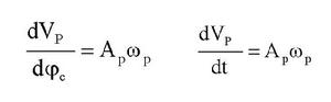
幾何供油規律是指從幾何關係上求出的單位凸輪轉角(或單位時間)噴油泵供入高壓油路中的燃油量隨凸輪轉角(或時間t)的變化關係。它完全由柱塞的直徑和凸輪型線的運動特性決定。
幾何供油規律式中,AP為柱塞面積,AP=;dp為拄塞直徑;ωP為有效行程段的柱塞速度。
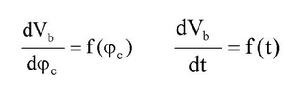
噴油規律是指在噴油過程中,單位凸輪轉角(或單位時間)從噴油器噴入氣缸的燃油量隨凸輪轉角(或時間t)的變化關係,即
噴油規律噴油規律的確定
試驗測定法:壓力升程法、博世長管法
計算法
計算法是對噴油系統建立物理數學模型,用質量守恆定律分別建立柱塞腔、出油閥緊帽腔、針閥體的盛油槽及壓力室內的燃油連續性方程;用牛頓定律建立出油閥、針閥的運動方程及高壓油管內的一元可壓縮不定常流的燃油運動方程和連續性方程,根據已知的噴油系統結構參數、噴油泵升程隨轉角變化的關係,用數值計算的方法編程,在計算機上聯立求解。可得出柱塞腔、出油閥緊帽腔、針閥體的盛油槽、壓力室和高壓油管任意位置的壓力變化及出油閥、針閥的達功規律,並得出噴油規律的計算結果,計算精度已能滿足工程套用的要求。目前這一方法已是國內外對噴油系統性能預測的基本方法,可利用此方法對燃料供給系統進行結構參數的最佳化。

