簡介
熱力學效率在熱力學中,熱效率( )是使用熱能的設備的無量綱性能測量,例如內燃機,汽輪機或蒸汽機,鍋爐或冰櫃。對於功率循環,熱效率表示通過熱(一次能源)加入的能量被轉換為淨功率輸出(二次能量)的程度。在製冷或熱泵循環的情況下,熱效率表示工作中添加的能量轉化為淨熱輸出的程度。
概述
熱力學效率
熱力學效率
熱力學效率一般來說,能量轉換效率是能量條件下器件與輸入的有用輸出之間的比值。對於熱效率,設備的輸入 是加熱或消耗的燃料的熱含量。輸出是機械功 或者是熱 。由於輸入熱通常具有實際的財務成本,熱效率的一個通用定義是:
熱力學效率
熱力學效率從熱力學的第一定律來看,能量輸出不能超過輸入(也不能等於),所以 。
當以百分比表示時,熱效率必須在0%和100%之間。效率通常低於100%,因為存在效率低下,例如將能量轉換成替代形式的摩擦和熱損失。例如,典型的汽油發動機效率約為25%,大型燃煤發電機達到46%左右,一級方程式賽車規則的推進推動了團隊開發高效率的45% 50%的熱效率。世界上最大的柴油發動機達到51.7%。在聯合循環設備中,熱效率接近60%。
對於燃料燃燒的發動機,有兩種熱效率:指示熱效率和制動器熱效率。這種效率僅在比較類似類型或類似設備時才適用。對於其他系統,效率計算的細節變化,但是非尺寸輸入仍然相同,效率=輸出能量/輸入能量。
熱機
熱力學效率熱機將熱能或熱量轉化為機械能 。它們不能完全轉化,所以一些輸入熱不能轉化為機械能,而是作為廢熱排入環境而消散。
熱力學效率熱機的熱效率是轉換成工作的熱能的百分比。熱效率定義為
熱力學效率即使是最好的發動機的效率也很低,通常低於50%。因此,熱機對環境的損失是能源資源的主要浪費。由於世界範圍內生產的大部分燃料用於為熱力發動機供電,因此,儘管現代熱電聯產,聯合循環和能源回收計畫已開始將其用於其他目的,但全球生產的有用能源的一半可能會浪費在發動機低效率方面。這種低效率可歸因於三個原因。任何熱機由於溫度的效率都有一個總體理論上的限制,稱為卡諾效率。第二,特定類型的發動機由於其使用的發動機循環的固有不可逆性而對其效率具有較低的限制。第三,真實發動機的非理想行為,例如機械摩擦和燃燒過程中的損失導致進一步的效率損失。
卡諾效率
熱力學效率
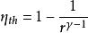
熱力學效率熱力學第二定律對所有熱機的熱效率進行了基本的限制。即使是理想的無摩擦發動機也不能將其100%輸入熱量的任何地方轉換成工作。限制因素是熱量進入發動機的溫度 以及發動機排放其廢熱的環境溫度 ,以絕對量表測量,如開爾文或蘭金量表。從卡諾定理出發,任何發動機在這兩個溫度之間工作:
熱力學效率這個極限值被稱為卡諾循環效率,因為它是稱為卡諾循環的不可實現的、理想的、可逆的發動機循環的效率。沒有將熱量轉換成機械能的裝置,無論其結構如何,都可以超越這種效率。
發動機循環效率
熱力學效率
熱力學效率
熱力學效率
熱力學效率卡諾循環是可逆的,因此代表了發動機循環效率的上限。實際的發動機循環是不可逆的,因此在相同溫度 和 之間運行時,具有比卡諾效率本來更低的效率。確定效率的因素之一是如何將熱量添加到循環中的工作流體以及如何被去除。卡諾循環實現最大效率,因為所有熱量都以最高溫度 加入到工作流體中,並在最低溫度 移除。相反,在內燃機中,當燃料開始燃燒時,氣缸中的燃料 - 空氣混合物的溫度不接近其峰值溫度,並且在所有燃料消耗時僅達到峰值溫度,因此平均溫度添加熱量較低,降低效率。
內燃機效率的一個重要參數是空氣 - 燃料混合物的比熱γ。這與燃料有所不同,但通常接近1.4。這個標準值通常用在下面的發動機循環方程中,當進行這種近似時,該循環稱為空氣標準循環。
(1)奧托循環:奧托循環是用於汽油和氫燃料汽油發動機的火花點火內燃機的循環的名稱。其理論效率取決於發動機的壓縮比r和燃燒室中氣體的比熱比γ。
熱力學效率因此,效率隨著壓縮比而增加。 然而,奧托循環發動機的壓縮比受限於需要防止被稱為爆震的不受控制的燃燒。 現代發動機的壓縮比範圍為8至11,導致理想的循環效率為56%至61%。
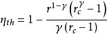
(2)狄賽爾循環:卡車和火車在用於柴油卡車和火車發動機的柴油循環中,燃料通過氣缸中的壓縮點燃。 狄賽爾循環的效率取決於r和γ,如奧托循環,也取決於截止比rc,rc是燃燒過程開始和結束時的氣缸體積比:
熱力學效率當使用相同的壓縮比時,狄賽爾循環的效率低於奧托循環。 然而,實用柴油發動機的效率比汽油發動機高出30% - 35%。這是因為,由於燃料在燃燒需要點燃之前不被引入到燃燒室中,所以壓縮比不受避免爆震的需要的限制,因此使用比火花點火式發動機高的比例。
(3)蘭金循環:蒸汽發電廠蘭金循環是汽輪機發電廠使用的循環。世界絕大多數電力都是在這個循環中生產的。 由於循環的工作流體水在循環過程中從液體變為蒸汽並且回到其後,其效率取決於水的熱力學性質。具有再熱循環的現代蒸汽輪機廠的熱效率可以達到47%,在蒸汽輪機由燃氣輪機的排氣供電的聯合循環設備中,可達到60%。
(4)布雷頓循環:燃氣輪機和噴氣發動機布雷頓循環是燃氣輪機和噴氣發動機中使用的循環。它包括一個增加進氣壓力的壓縮機,然後將燃料連續地添加到流中並燃燒,並且熱排氣在渦輪機中膨脹。 效率在很大程度上取決於燃燒室p內的壓力與p以外的壓力之比
熱力學效率其他低效率
上述效率公式基於簡單的發動機理想化數學模型,沒有摩擦和工作流體遵守稱為理想氣體定律的簡單熱力學規則。實際發動機與理想行為有很多偏離,浪費能源,降低遠遠低於上述理論值的實際效率。例如:
(1)運動部件摩擦
(2)燃燒效率低下
(3)來自燃燒室的熱量損失
(4)工作流體離開理想氣體的熱力學性質
(5)空氣通過發動機的氣動阻力
(6)輔助設備如油水泵所使用的能源。
(7)低效壓縮機和渦輪機
低效率的另一個原因是,除了效率低的污染之外,發動機必須針對其他目標進行最佳化。車輛發動機的要求特別嚴格:它們必須設計用於低排放,足夠的加速性,起動速度快,重量輕,噪音低等特點。這些要求在設計上會受到影響(如改變氣門正時以減少排放),從而降低效率。平均汽車發動機的效率只有35%左右,也必須在停車位上閒置,浪費17%的能量,總體效率為18%。[7]大型固定式發電廠具有較少的競爭要求以及更高效的蘭金循環,因此它們比車輛發動機的效率明顯更高,約為50%。因此,用電動車替換內燃車輛,電動車輛運行在充電電池在發電廠燃燒燃料產生的電力,具有提高運輸中能源使用的熱效率的理論潛力,從而減少對化石燃料的需求。
當比較不同的熱力發動機作為動力源,如電力或運行車輛的動力時,發動機效率本身只是一個因素。為了進行有意義的比較,必須考慮從燃料源到消費者的整個能源供應鏈的整體效率。雖然熱機所浪費的熱量通常是無效率的最大來源,但諸如燃料精煉和運輸的能源成本以及運輸它的輸電線路中的能量損失等因素可能會抵消更有效的熱力發動機的優勢。
能量轉換
定義
對於將能量從另一種形式轉換成熱能(例如電加熱器,鍋爐或爐)的設備,熱效率是
熱力學效率其中Q量是熱當量值。
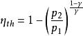
因此,對於每300 kW熱當量輸入產生210 kW(或700,000 BTU / h)輸出的鍋爐,其熱效率為210/300 = 0.70或70%。 這意味著30%的能量會損失到環境中。
電阻加熱器的熱效率接近100%,當將諸如高效電阻加熱器的加熱單元與80%有效的天然氣燃料爐進行比較時,需要經濟分析來確定最具成本效益的選擇。
燃料加熱值的影響
燃料的加熱值是放熱反應(例如燃燒)時釋放的熱量,是每種物質的特徵。以每單位物質的能量為單位進行測量,通常為質量,如:kJ / kg,J / mol。燃料的熱值表示為HHV,LHV或GHV,以區分相變熱的處理:
(1)通過將所有燃燒產物恢復到原始預燃溫度,特別是冷凝所產生的任何蒸氣來確定更高的發熱值(HHV)。這與熱力學燃燒熱相同。
(2)通過從較高的熱值減去水蒸汽的蒸發熱量來確定較低的熱值(LHV)(或淨熱值)。因此,蒸發水所需的能量不能作為熱來實現。
(3)總的熱值考慮排氣中的水作為蒸氣而離開,並且在燃燒之前包括在燃料中的液態水。該值對於木材或煤炭等燃料很重要,燃燒前通常會含有一定量的水。
正在使用哪個定義的熱值顯著影響任何引用的效率。
熱泵和冰櫃
熱泵,冰櫃和空調使用工作將熱量從較冷的地方移動到較暖的地方,因此它們的功能與熱機相反。 施加到它們的工作能量(W)被轉換成熱量,並且從冷庫(Q)移動的能量和熱能的總和等於加到熱水箱(Q)的總熱能)
熱力學效率
熱力學效率
熱力學效率它們的效率是通過性能係數(COP)來衡量的。熱泵是通過加熱到熱水箱的效率來測量的,即;冰櫃和空調通過從冷室內除去熱量的效率,即:
熱力學效率
熱力學效率使用“性能係數”來代替“效率”的原因是,由於這些裝置正在移動熱量,而不是產生熱量,因此它們移動的熱量可能大於輸入功率,因此COP可以更大 超過1(100%)。因此,如在電加熱器或爐中那樣,熱泵可以是比將簡單地將輸入工作轉換成熱量更有效的加熱方式。
由於它們是熱力發動機,所以這些裝置也受到卡諾定理的限制。 卡爾諾效率對於這些過程的極限值,理論上只有理想的“可逆”循環才能實現的平等是:
熱力學效率
熱力學效率在被認為是冰櫃時,在考慮作為熱泵時,在相同溫度下使用的相同裝置更有效率:
熱力學效率這是因為當加熱時,用於運行設備的工作被轉換為熱量並增加了期望的效果,而如果期望的效果是冷卻,則由輸入工作產生的熱量只是不需要的副產物。有時,效率一詞用於實現COP與卡諾COP的比例,不超過100%。
能源效率
“熱效率”有時被稱為能量效率。在美國,在日常使用中,SEER是冷卻設備以及在加熱模式時熱泵的能源效率的更常見的測量。對於能量轉換加熱裝置,其常常表現出其峰值穩態熱效率,例如,“該爐具有90%的效率”,但是季節能量效率的更詳細的測量是年燃料利用效率(AFUE)。
