保守向量場
如果一個向量場是某個標量勢的梯度,那么便稱為 保守向量場。有兩個密切相關的概念: 路徑無關和 無旋向量場。任何一個保守向量場的旋度都是零(因此是無旋的),也具有路徑無關的性質。
定義
無旋場
無旋場一個向量場稱為 保守的,如果存在一個標量場,使得:
無旋場
無旋場
無旋場
無旋場
無旋場在這裡,表示的梯度。當以上的等式成立時,就稱為的一個標量勢。
向量分析基本定理表明,任何一個向量場都可以表示為一個保守向量場和一個螺線向量場的和。
路徑無關
無旋場
無旋場保守向量場的一個重要性質是它沿著一條路徑的積分只與起點和終點有關,與路徑無關。假設是三維空間內的一個區域,P是S內的一個可求長路徑,其起點為A,終點為B。如果是保守向量場,那么:
無旋場這是複合函式求導法則和微積分基本定理的結果。
一個等價的表述是,對於S內的所有閉合路徑,都有:
無旋場
無旋場
無旋場以上的逆命題也是成立的,只要S是連通區域。也就是說,如果沿著S內的所有閉合路徑的環量都是零,那么就是保守向量場。
無旋向量場
無旋場向量場是 無旋的,如果它的旋度是零,也就是說:
無旋場由於這個原因,這種向量場有時稱為 無旋向量場。
無旋場對於任何標量場,都有:
無旋場因此保守向量場都是無旋向量場。
只要S是單連通區域,它的逆命題也是成立的:每一個無旋向量場也都是保守向量場。
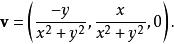
無旋場如果S不是單連通的,則逆命題不成立。設S為去掉z軸的三維空間,也就是。現在,我們定義以下的向量場:
無旋場
無旋場
無旋場
無旋場
無旋場
無旋場
無旋場則存在,且在S內的每一個點旋度都是零;因此是無旋的。但是,沿著平面內的單位圓的環量等於。因此不具有路徑無關的性質,所以不是保守的。
在單連通空間內,無旋向量場具有路徑無關的性質。這是因為無旋向量場是保守的,而保守向量場又是路徑無關的。這個結果也可以從斯托克斯定理直接推出。在連通區域內,任何一個路徑無關的向量場都一定是無旋的。
無旋場
無旋場更加抽象地,保守向量場是恰當1-形式。也就是說,它是一個1-形式,等於某個0-形式(標量場)的外導數。一個無旋向量場是閉合1-形式。由於 d= 0,任何正合形式都是閉合的,因此任何保守向量場都是無旋的。定義域是單連通的,若且唯若它的第一個同調群為零,或第一個上同調群為零。第一個德拉姆上同調群是零,若且唯若所有閉合1-形式都是恰當的。
無旋流動
無旋場
無旋場流體的流速是向量場,它的渦度通常由以下公式定義:
無旋場
無旋場如果是無旋的,那么這個流動就稱為 無旋流動。無旋流動的渦度是零。
對於二維流動,渦度是流體元素的 局部旋轉的一種衡量。注意渦度並不能說明流體的整體表現。做直線運動而具有渦度的流體是有可能的,做圓周運動而是無旋的流體也是有可能的。關於更多信息,請參見旋渦。
參見
•螺線向量場
•亥姆霍茲分解

