簡介
與剛體運動比較,流體質點運動的最大不同點,是除了可有平動、轉動、或平移帶轉動外,還可能有變形出現。變形特性取決於流速場特性,或線性變形(拉伸、壓縮),或角變形。因此,就一般情況而言,流體運動可分解為位移、旋轉和變形三種基本形式。其中變形對質點應力分析有重大影響,而旋轉與否,其流動規律完全不同。
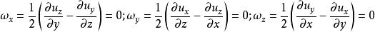
液流中各液體微團的旋轉角速度都為0,因而不存在旋轉運動的流動稱為無旋流,無旋流中:
有旋流
有旋流反之,液流中如有液體微團作旋轉運動,亦即旋轉角速度不全為0,則這種液體運動叫做有旋流,在有旋流運動中,上述三個等式至少有一個得不到滿足。實際上,往往是一部分流場可以是有旋流,另一部分可以是無旋流。
無旋流有旋流亦稱“渦流”。流體質點(微團)在運動中不僅發生平動(或形變),而且繞著自身的瞬時軸線作旋轉運動。 如旋風即為空氣的渦流。當流體速度變化較大,由於流體粘滯阻力、壓強不均勻等因素的影響,就容易形成渦流。
必須注意,流動究竟是無旋流還是有旋流,是根據液體微團的本身是否旋轉而決定的,並不是由該微團的軌跡形狀而定的。 例如左圖所示的運動,微團的軌跡為一圓周,但微團本身並無旋轉,故為無旋流。而右圖所示的運動,微團的軌跡線是一直線,但微團本身卻在轉動,故為有旋流。
有旋流和無旋流的特性
有旋流①若,即
有旋流則流動為無旋流,否則,為有旋流。
有旋流有旋流(渦流)——中任一個或全部不等於零的流體運動,繞自身軸有旋轉的運動。(與通常的旋轉不同)流場內流體質點具有繞質點自身任意軸的角速度。
②有旋流的特徵是存在角速度。角速度是一個矢量,所以可如同用流線描述流動一樣,可用渦線描述流動的旋轉變化。
渦線——在同一瞬時線上各質點的轉速矢量都與該曲線相切。
無旋流一般存在於無粘性理想流體中。有旋流一般存在於有粘性實際流體中,但在粘性流體中的層狀滲流也可看作是無旋流。

