簡介
有環量的無旋流動是無粘性不可壓縮流體中一類重要的繞物體的平面無旋流動。這類流動的特點是,在流場中任取一圍繞物體的封閉曲線,沿此曲線的速度環量不等於零。二維翼型的繞流就是有環量無旋運動的一例。
圓柱的有環量繞流
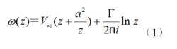
圓柱的有環量繞流是有環量無旋流動中最簡單的一種情形。將均勻流和指向上游的偶極子流以及原點處強度為Г的點渦疊加起來,可得到繞圓柱的流動。其復位勢(見奇點分布法)為:
有環量的無旋運動
圖1 圓對任意翼型的保角映射式中ω(z)為復位勢;z為復變數;V為均勻流的速度;a為圓柱半徑。容易看出,沿任一繞原點的封閉曲線的速度環量不等於零而等於一個有限值。
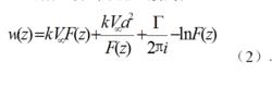
利用翼型到圓的保角映射函式,可由圓柱有環量繞流問題的解直接寫出翼型的有環量繞流問題的解。設ζ=F(z)是一個單值的解析函式,它將任意剖面C外的區域單值且保角地映射到半徑為a的圓K外的區域上去(圖1)並且滿足:①∞點對應∞點;②(dz/dζ)=k。k為一個正實數。根據黎曼定理,函式ζ=F(z)是存在且唯一的。由ζ=F(z)和圓柱有環量繞流問題的解(1),可得任意翼型繞流問題的復位勢:
有環量的無旋運動式中速度環量的數值根據儒科夫斯基假設確定:後緣角點B是速度有限的一個駐點,流體平滑地流經翼型的上、下表面而從後緣流出。設角點B在ζ平面上對應的是圓上幅角為θ的點E,由於E點是保角變換破壞點, 滿足(dz/dζ)=0 ,於是根據
有環量的無旋運動推出(dw/dζ)=0,即ζ平面上E是駐點。據此可確定的表達式:Γ=-4πak∣V〡sin(a-θ),式中∣V〡為無窮遠處速度大小;a為來流攻角。
圖3 繞翼型環量的產生
圖2 起動渦翼型一般是從靜止起動的,根據開爾文定理,翼型引起的流體運動中渦量和速度環量應同靜止流體一樣處處為零;而根據儒科夫斯基假設計算出來的速度環量卻是一個不等於零的有限值,且實際上存在的繞流圖案總是使後緣角點成為駐點。原因是,當翼型剛在流體中起動時,後駐點不在角點而在上表面,流體從下表面繞過尖角進入上表面,形成大於180°角的流動。角點處速度無窮大,壓力負無窮大,逆壓梯度很大。物體表面生長起來的邊界展承受不住這么大的逆壓梯度,幾乎立刻從後緣處分離形成起動渦(圖2),使—部分流體發生旋轉,從而產生了沿DCB的速度環量Γ(圖3)。與此同時,在
流體的另一部分產生反方向的旋轉,這個反方向的轉動以圍繞翼型的環流形式出現,於是產生沿DAB的速度環量Γ。因為無旋運動要求Γ=Γ-Γ,所以ΓΓ。繞翼型的反向環流會增加上表面的氣流速度,使後駐點的位置向後推移。只要後駐點還在上表面,上述過程就會一直進行下去,流動繼續分離,起動渦的強度和繞翼型的環量不斷加大,後駐點位置不斷後移,一直到後駐點移至角點處,機翼上下兩邊的氣流在後緣平滑地相遇時不產生大於π角的流動。此時出現後緣點速度有限的繞流圖案。隨著時間的推移,起動渦被氣流衝到下游很遠的地方,其全部能量逐漸被粘性所耗散,只留下繞翼型的一個固定的速度環量。這時流體內部仍然可以近似地看作是無旋運動。
參考文獻
1.詞條作者:吳望一《中國大百科全書》74卷(第二版)物理學詞條:流體力學:中國大百科全書出版社,2009-07:552-553頁

