概念
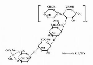
漢生膠,又稱黃膠、黃原膠,是一種自然多糖和重要的生物高聚物,由甘藍黑腐病野油菜黃單胞菌以碳水化合物為主要原料,經好氧發酵生物工程技術產生的。1952年由美國農業部伊利諾斯州皮奧里爾北部研究所分離得到的甘藍黑腐病黃單胞菌,並使甘藍提取物轉化為水溶性的酸性胞外雜多糖而得到。黃原膠可以溶於冷水和熱水中,
技術指標
| 指標項目 | 指標要求 |
| 外觀 | 類白色或淺米黃色粉末 |
| 氣味 | 無味 |
| 粘度 | ≥600mpa.s |
| 乾燥失重 | ≤15.0% |
| 灰分 | ≤16.0% |
| 總氮 | ≤1.5% |
| 鉛 | ≤2ppm |
| 菌落總數 | ≤5000CFU/g |
| 大腸桿菌 | ≤30MPN/100g |
| 黴菌、酵母菌 | ≤500CFU/g |
| 沙門氏菌 | 不得檢出 |
特點及性能
漢生膠是目前國際上集增稠、懸浮、乳化、穩定於一體.性能最優越的生物膠。漢生膠的分子側鏈末端含有丙酮酸基團的多少,對其性能有很大影響。漢生膠具有長鏈高分子的一般性能,但它比一般高分子含有較多的官能團,在特定條件下會顯示獨特性能。它在水溶液中的構象是多樣的,不向條件下表現不同的特性。1. 懸浮性和乳化性
漢生膠對不溶性固體和油滴具有良好的懸浮作用。漢生膠溶膠分子能形成超結合帶狀的螺旋共聚體,構成脆弱的類似膠的網狀結構,所以能夠支持固體顆粒、液滴和氣泡的形態,顯示出很強的乳化穩定作用和高懸浮能力。
2. 良好的水溶性
漢生膠在水中能快速溶解,有很好的水溶性。特別在冷水中也能溶解,可省去繁雜的加工過程,使用方便。但由於它有極強的親水性,如果直接加入水小而攪拌不充分,外層吸水膨脹成膠團,會阻止水分進入裡層,從而影響作用的發揮,因此必須注意正確使用。漢生膠乾粉或與鹽、糖等乾粉輔料拌勻後緩慢加入正在攪拌的水中,製成溶液使用。
3. 增稠性
漢生膠溶液具有低濃度高粘度的特性(1%水溶液的粘度相當於明膠的100倍),是一種高效的增稠劑。
4. 假塑性
漢生膠水溶液在靜態或低的剪下作用下具有高粘度,在高剪下作用下表現為粘度急劇下降,但分子結構不變。而當剪下力消除時,則立即恢復原有的粘度。剪下力和粘度的關係是完全可塑的。漢生膠假塑性非常突出,這種假塑性對穩定懸浮液、乳濁液極為有效。
5. 對熱的穩定性
漢生膠溶液的粘度不會隨溫度的變化而發生很大的變化,一般的多糖因加熱會發生粘度變化,但漢生膠的水溶液在10—80℃之間粘度幾乎沒有變化,即使低濃度的水溶液在廣闊的溫度範圍內仍然顯示出穩定的高粘度。1%漢生膠溶液(含1%氯化鉀)出25℃加熱到120℃.其粘度僅降低3%。
6. 對酸鹼的穩定性
漢生膠溶液對酸鹼十分穩定,在PH為5—10之間叫其粘度不受影響,在PH小於4和大於11時粘度有輕微的變化。在PH3—11範圍內,粘度最大使和最小值相差不到10%。漢生膠能溶於多種酸溶液,如5%的硫酸、5%的硝酸、5%的乙酸、10%的鹽酸和25%的磷酸,且這些漢生膠酸溶液在常溫下相當穩定,數月之久品質仍不會發生改變。漢生膠也能溶於氫氧化鈉溶液,並具有增稠特性.所形成的溶液在室溫下十分穩定。漢生膠可被強氧化劑,如過氯酸、過硫酸降解,隨溫度升高,降解加速。
7. 對鹽的穩定性
漢生膠溶液能和許多鹽溶液(鉀鹽、鈉鹽、鈣鹽、鎂鹽等)混溶,粘度不受影響。在較高鹽濃度條件下,甚至在飽和鹽溶液中仍保持其溶解性而不發生沉澱和絮凝,其粘度幾乎不受影響。
8. 對酶解反應的穩定性
漢生膠穩定的雙螺旋結構使其具有極強的抗氧化和抗酶解能力,許多的酶類如蛋白酶、澱粉酶、纖維素酶和半纖維素酶等酶都不能使漢生膠降解。
使用方法
漢生膠在大多數以水為基相體系內完全溶解,但由於它有極強的親水性,如果直接加入水中而攪拌不充分,外層吸水膨脹成膠團,從而阻止水份進入裡層,進而影響作用的發揮,因此必須注意正確使用:取一份漢生膠用十份或以上其它乾燥的原料,如食品製作中的糖、味素、鹽等物調勻,然後慢慢傾倒在攪拌中的水裡,浸泡約兩小時,繼續攪拌至完全溶解。
