溶液類型
正文
溶液根據其狀態可以分為固態溶液(如合金)、液態溶液和氣態溶液(如空氣等氣體混合物)。一般,溶液的類型有低壓氣體混合物、液體溶劑的溶液和氣體溶於固體的溶液,以第二種溶液最為重要。低壓氣體混合物 在低壓下,不論什麼氣體都能與別的氣體按任意比例自由混合,形成均勻的體系。只要壓力不太高(有些氣體混合物在高壓下可能發生分層現象),低壓氣體混合物可當作理想氣體處理,即:
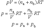
pV=nRT式中p為壓力;V為體積;n為氣體的摩爾數;R為氣體常數;T為熱力學溫度。
在氣體混合物中,設氣體A的摩爾數為na;氣體B的摩爾數為nb;總壓為p;A的分壓為pa;B的分壓為pb,則可得:


),則得: 

有些溶質在某些溶劑中分解成帶電的離子(如氯化鈉溶於水,離解成 Na+和Cl-),叫做電解質溶液;反之,稱為非電解質溶液,它又分為理想溶液和非理想溶液,前者指組成溶液的任一組分,在全部組成範圍內都符合拉烏爾定律,例如結構異構體的混合物(如鄰二甲苯和對二甲苯的混合物)、光學異構體的混合物(如 D-樟腦和L-樟腦的混合物),緊鄰同系物的混合物(如苯和甲苯或甲醇和乙醇的混合物)也近似理想溶液。
氣體溶於固體的溶液 鈀粉(固體)在常溫下可吸收相當於自身體積八百多倍的氫氣,等於把氫濃縮在鈀中,常用它進行加氫反應。金屬氫化物可作儲氫材料,當氫氣與儲氫合金(固體)接觸時,氫分子在金屬表面離解為氫原子,然後氫原子進入金屬點陣的間隙位置而形成固溶體(氣體溶於固體的溶液)。這種新型的儲氫材料將對氫的回收、純化、貯存、加氫以及功能轉換起著重要作用。
