基本概念
對於某些流體與固體之間的對流換熱問題 ,熱邊界條件無法預先給定,而是受到流體與壁面之間相互作用的制約。這時無論界面上的溫度還是熱流密度都應看成是計算結果的一 部分,而不是 已知條件。像這類熱邊界條
件是由熱量交換過程動態地加 以決定而不能預先規定的問題 ,稱為流固耦合傳熱問題。
用流固耦合傳熱方法可以將流體與固體之間複雜的外邊界條件變成相對簡單的內邊界進行處理,不但減少了邊界條件,又符合實際狀態 從而提高了仿真的合理性和精度 。
解決方法
對於耦合傳熱來說,熱邊界條件是由熱量交換過程動態地加以決定而不能預先規定, 不能用常規的三類傳熱邊界條件來概括。流體和固體邊界上的熱邊界條件受到流體與壁面之間相互作用的制約 。這時無論界面上的溫度是熱流密度都應看成是計算結果的一部分,而不是已知條件 。
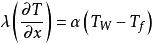
解決耦合問題的有效數值解法有順序求解法和整場離散 、整場求解方法 。後者把不同區域中的熱傳遞過程組合起來作為一個統一的換熱過程來求解, 不同的區域採用通用控制方程,區別僅在於擴散係數及廣義源項的不同。採用控制容積積分法來導出離散方程時,界面上的連續性條件原則上都能滿足,省去了不同區域之間的反覆疊代過程,使計算時間顯著縮短,成為解決耦合傳熱問題的主導方法 。在流固耦合界面處,使用有限元軟體提供的標準壁面函式法處理流動邊界層和傳熱邊界層。壁面函式法實際是一組半經驗的公式,其基本思想是:對於湍流核心區的流動使用 k-ε模型求解, 而在壁面區不進行求解,直接使用半經驗公式將壁面上的物理量與湍流核心區內的求解變數聯繫起來。這樣,不需要對壁面區內的流動進行求解, 就可以直接得到與壁面相鄰控制體積的節點變數值 。但是壁面函式法必須與高Re數 k-ε模型配合使用。
使用有限元軟體進行仿真時,可根據所建立的仿真對象模型,設定不同零件各自的材料特性,流體的進出口邊界及固體的外邊界確定後直接施加在有限元模型上,並選定流固邊界的計算條件———標準壁面函式法即可。
用數值仿真方法可以得到比試驗測量更豐富的信息。雖然在流固耦合模型套用於數值仿真的初始階段需要試驗的驗證,但是數值仿真依靠其數據豐富 、不受環境條件限制 、周期短 、成本低的優勢,必將成為發展趨勢 。
計算
流固耦合傳熱
流固耦合傳熱
流固耦合傳熱
流固耦合傳熱
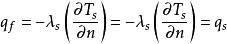
流固耦合傳熱流固耦合傳熱計算 的關鍵是實現流體與固體邊界上的熱量傳遞。由能量守恆可知 ,在流固耦合的交界面 ,固體傳出的熱量應等於流體吸收的熱量,因此 ,流固邊界面上的熱量傳遞過程可表示為 。式中: 為固體導熱係數; 為對流換熱係數 , 為固體壁面溫度 ; 乃為流體溫度。
流固耦合傳熱
流固耦合傳熱
流固耦合傳熱
流固耦合傳熱
流固耦合傳熱在求解流固耦合的瞬態溫度場時,流體區域可按準穩態流場處理,即不考慮流場的動量和湍方程,則其控制方程式 ·( ρVφ) = ·( ΓVφ) + S 簡化為僅包含溫度變數,其他變數均視為定值,即 ·( ρVφ) = ·( ΓVφ) + S。
流固耦合傳熱
流固耦合傳熱固體區域控制方程以其基本導熱方程表示為 ,h 為顯焓; λ 為導熱係數; 為體積熱源。等號左邊第 1 項表示固體能量隨時間的變化,右邊 2 項分別表示傳導引起的熱流以及固內部的體積熱源。對於各向異性導熱的,其熱傳導項為 Δ·( λljΔT) ,λlj 為導熱率張量。
流固耦合傳熱
流固耦合傳熱
流固耦合傳熱
流固耦合傳熱
流固耦合傳熱
流固耦合傳熱
流固耦合傳熱
流固耦合傳熱
流固耦合傳熱流固交界面上不考慮發生的輻射、燒蝕相變等過程,則流固交界面上滿足能量連續性條件,即溫度和熱流密度相等。具體控制方程式為 , ,式中: 和 分別為流體溫度和導熱係數; 和 分別為固體溫度和導熱係數; 和 分別為流固交界面上流體側和固體側的熱流密度; 為流固交界面法向量。
上述構成了流固耦合瞬態溫度場控制方程,可以使用分區瞬態緊耦合算法進行求解。即在每個[t,t + Δt]時間步長內,完成如下計算步驟:
1) 假定耦合邊界上的溫度分布,作為流體區域的邊界條件。
2) 對其中流體區域進行穩態求解,得出耦合邊界上的局部熱流密度和溫度梯度,作為固體區域的邊界條件。
3) 求解固體區域,得出耦合邊界上新的溫度分布,作為流體區域的邊界條件。
4) 重複 2) 、3) 兩步計算,直到收斂。
相關研究
緊耦合
Stokos、Hooper、Kazemi-Kamyab等開發了將流體及固體內所有物理過程進行瞬態緊耦合算法,能使計算結果與實驗結果高度吻合。但是,該瞬態緊耦合計算需要消耗大量的計算資源,難以用於解決實際複雜工程問題。
根據問題的特徵,有些研究者近似認為在計算時間內,某些參數的狀態是不變的,進而直接將瞬態問題轉化為穩態問題。對於絕大多說不能通過準穩態處理直接轉化為穩態問題的瞬態問題,有些研究者主張保留耦合的非穩態特性,提出各部分分別進行瞬態求解,並通過邊界條件、參數值及活動格線等方式進行實時信息互動的瞬態松耦合傳熱問題的求解。如 Bauman 和Kazemi-Kamyab等針對高超聲速流中固體表面帶輻射及燒蝕相變過程的流固耦合強制對流傳熱問題,提出將流體 Navier-Stokes 方程與固體導熱、輻射及燒蝕相變過程分別進行瞬態求解,並利用流體數值計算結果對其他求解方程的邊界溫度和熱流加以修正,直至疊代收斂。Lohner 等針對飛機氣彈分析中帶固體形變的流固耦合傳熱問題,將流體 Navier-Stokes 方程及固體導熱和應變方程分別求解,並利用流體數值計算結果對其他求解方程的邊界溫度和熱流加以修正,同時利用固體應變方程的計算結果修正流體耦合邊界位置和速度邊界條件,直至疊代收斂。
松耦合
有些研究者提出了基於準穩態流場的松耦合算法,即近似認為在整個流固耦合傳熱過程中,流場處於若干個準穩態,每一個準穩態的流場都使用穩態 Navier-Stokes 方程求解。如 Kontinos結合二維邊界單元法和高超聲速計算流體力學( CFD) 算法的松耦合算法,分析了高超聲速流與機翼前緣的耦合傳熱問題。Chen 和Zhang等交替進行穩態流場計算與固體燒蝕和瞬態導熱的松耦合算法計算了帶燒蝕的流固耦合傳熱問題。

