法平面方程
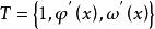
設空間曲線T由參數方程
法平面
法平面
法平面
法平面
法平面
法平面
法平面
法平面
法平面
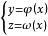
法平面表示,其中 、 、 都是在 上可導的函式,且 , , 不全為0。
法平面
法平面
法平面
法平面
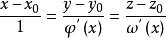
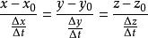
法平面考慮曲線T上對應於 的一點 及對應於 的鄰近一點 ,根據空間解析幾何知,曲線的割線 的方程是
法平面或
法平面
法平面
法平面
法平面
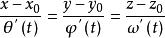
法平面當點M沿曲線T趨向於點 時,割線 的極限位置 就是曲線T在點 處的切線。
法平面通過對上式取極限,即得曲線T在點 處的切線方程
法平面
法平面
法平面
法平面
法平面
法平面切線的方向向量稱為曲線T在點 處的切向量,它是一個非零向量。若 、 、 中個別為0,切線方程應按空間解析幾何中有關直線的對稱式方程的說明來理解。
法平面
法平面
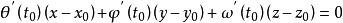
法平面通過點 而與切線垂直的平面稱為曲線T在點 處的法平面。它是通過點 而以T為法向量的平面,因此這法平面的方程為
法平面公式推廣
法平面1、如果空間曲線T以形式給出,可以選x為參數從而將曲線方程改為
x=x
法平面
法平面
法平面
法平面
法平面,都在處可導,則T上點處的切向量可取為
法平面
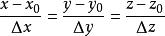
法平面從而點處的切線方程為
法平面法平面方程為
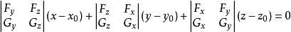
法平面2、如果空間曲線T以
法平面
法平面
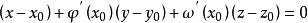
法平面的形式給出,是曲線T上的一點,不難推得,曲線T上點處的切線方程為
法平面
法平面曲線T上點處的法平面方程為
法平面
法平面這裡的行列式表示行列式在點的值。

