簡介
沿程阻力損失沿程阻力損失簡稱沿程損失,是流體在流動過程中克服黏性力作用而造成的損失,是發生在緩變流整個流程中的能量損失。沿程損失用表示,這種損失的大小與流體的流動狀態有著密切的關係。
計算公式
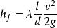
對於層流流動沿程阻力損失的計算,我們前面已經推導出它的計算公式。對於紊流運動,很難完全用解析的方法解決,但可以利用圖表分析的方法找出紊流沿程損失的計算公式。對於紊流流動,沿程損失計算仍採用達西公式,即
沿程阻力損失
沿程阻力損失其中:表示管長;
沿程阻力損失表示管徑;
沿程阻力損失表示流速;
λ表示粘滯係數;
沿程阻力損失表示重力加速度。
影響因素
1.流體的流動型態
由於兩種流態的內在結構上有著本質的差異。因此層流流動時,流動阻力來源於流層間的內摩擦力。紊流流動時,流動阻力來源於兩個方面:一方面是層流底層的內摩擦力;另一方面是紊流核心區內流體質點摻混、碰撞等動量交換髮生的附加阻力。因此,兩種流態的能量損失的大小也就不相同。所以,在計算沿程阻力損失時,首先要正確判斷管道中流體的流動型態。
2.管長
由沿程阻力損失的特點可知,損失大小隨流程長度而增加,管長越長,沿程阻力損失就越大。
3.管中流速
由大量實驗可得到當管中流速越大時,沿程阻力損失也就越大。
4.黏滯係數
實踐證明,黏滯係數大,沿程能量損失也大,例如電廠輸送燃油時,當油的溫度低時,其黏滯係數就大,輸油時就困難,說明沿程阻力損失就大,要順利輸送就一定要將燃油加熱至一定溫度。
5.管徑
由於管徑越小,管壁對流體的約束作用越大,流動阻力增大,所以管徑越小,沿程阻力損失就越大。
6.管壁的粗糙度
任何管道由於材料、加工及腐蝕等因素的影響,管壁總是凹凸不平的。因此,管壁絕對粗糙度越大,沿程阻力損失就越大。

