基本概念
沿程損失
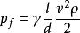
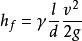
沿程損失是發生於均勻流和漸變流段、由壁面摩擦阻力產生的水頭損失,與流段長度成正比,更具體地說,由於壁面阻力而使斷面流速分布不均勻,產生流體的剪下變形,在切應力作用下使流體機械能被損耗。計算公式如下 :
沿程損失
沿程損失式中:
沿程損失:沿程阻力係數。
l:管長(m)
d:管徑(m)
v:斷面平均流速(m/s)
沿程損失
沿程損失:流體的密度( )
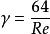
沿程阻力係數
對於層流,沿程阻力係數入僅與雷諾數有關,與管壁粗糙度無關,即
沿程損失對於紊流,因其流動的複雜性,沿程阻力係數入的確定主要藉助一些經驗、半經驗公式莫迪圖。
相關概念
沿程水頭損失
在固體邊界平面的水道中,單位重量的液體自一斷面流至另一斷面所損失的機械能稱為該兩斷面之間的水頭損失,這種水頭損失是沿程都有的,故稱為沿程水頭損失。
沿程消能
在過水途徑中設定阻流墩、多極階梯或採取加糙底面等措施,逐步消耗分散水流能量的消能方式。
沿程泄出
流量沿程連續不斷分泄出的流量。

