簡介
沿程水頭損失(frictional head loss)是指在固體邊界平直的水道中,單位重量的液體自一斷面流至另一斷面所損失的機械能就叫做該兩斷面之間的水頭損失。
在固體邊界平直的水道中,單位重量的液體自一斷面流至另一斷面所損失的機械能就叫做該兩斷面之間的水頭損失,這種水頭損失是沿程都有,並且隨沿程長度而增加的,所以叫做沿程水頭損失,常用hf表示。
公式
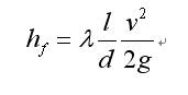
沿程水頭損失對於圓管,有壓流,一般用達西--韋斯巴赫公式進行計算:
公式係數
在達西公式中的λ即為沿程水頭損失係數,也稱沿程阻力係數。水流流態分為層流,過渡流和紊流。在層流中的沿程阻力係數為:
沿程水頭損失穆迪圖
至於過渡流和紊流中的沿程阻力係數,尚無理論公式。1933年,尼古拉茲對內壁用人工沙粒粗糙的圓管進行了廣泛且深入的水力學實驗,得到了沿程阻力係數與雷諾數(Re)的關係。1944年,穆迪根據前人試驗成果,在雙對數坐標中繪製了λ,Re,Δ/d(相對粗糙度)的關係,即為著名的穆迪圖 。
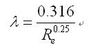
勃拉休斯公式
當4000<Re<100000,可用勃拉休斯公式:
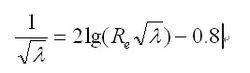
沿程水頭損失尼古拉茲公式
當Re<10的6次方,可以用尼古拉茲公式:
沿程水頭損失
