簡介
沿程阻力(Frictional Drag):流體流經一定管徑的直管時,由於流體內摩擦力而產生的阻力,阻力的大小與路程長度成正比。
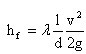
沿程阻力(直管阻力)損失的計算式中 λ——摩擦係數,與雷諾數Re和管壁粗糙度ε有關,可實驗測定,也可計算得出。
層流時:
沿程阻力沿程阻力係數的確定方法
對於層流流動,可以嚴格地從理論推導出來。
對於紊流流動,工程上通過以下兩種途徑確定:一種是以紊流的半經驗理論為基礎,結合實驗結果,整理成阻力係數的半經驗公式;另一種是直接根據實驗結果,綜合成阻力係數的經驗公式。前者具有更為普遍的意義。
