水頭損失的分類
進水頭損失液體在流動的過程中,在流動的方向、壁面的粗糙程度、過流斷面的形狀和面積均不變的均勻流段上產生的流動阻力稱之為沿程阻力,或稱為摩擦阻力。沿程阻力的影響造成流體流動過程中能量的損失或水頭損失。沿程阻力均勻地分布在整個均勻流段上,與管段的長度成正比,一般用 表示。
進水頭損失另一類阻力是發生在流動邊界有急變的流域中,能量的損失主要集中在該流域及附近流域,這種集中發生的能量損失或阻力稱之為局部阻力或局部損失,由局部阻力造成的水頭損失稱之為局部水頭損失。通常在管道的進出口、變截面管道、管道的連線處等部位,都會發生局部水頭損失,一般用 表示。
計算方法
單位重量的水或其他液體在流動過程中因克服水流阻力作功而損失的機械能,具有長度因次。水頭損失可分為沿程水頭損失及局部水頭損失兩類。某流段的總水頭損失 hw為各分段的沿程水頭損失與沿程各種局部水頭損失的總和。
沿程水頭損失
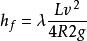
沿程水頭損失的理論計算公式——達西一魏斯巴赫( Darcy-Weisbach)公式。
在均勻流中,對任意兩斷面列能量方程,並通過改變實驗條件探討影響沿程水頭損失的因素,從而得到沿程水頭損失的計算公式:
進水頭損失
進水頭損失式中: ——沿程水頭損失,m;
進水頭損失——沿程水頭損失係數,它反映了水流型態、邊界粗糙程度對水頭損失的影響,為無量綱係數;
L——計算段長度,m;
R——水力半徑,m;
v——斷面平均流速,m/s。
上式即為達西 魏斯巴赫公式。
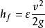
局部水頭損失
進水頭損失
進水頭損失
進水頭損失局部水頭損失(local head loss) 簡稱“局部損失”。單位質量的流體在流程中遇到局部阻力,如斷面突然變化或急彎的河渠等,水流所消耗的機械能。用 計算。式中, 為局部損失, 為局部阻力係數,v為局部阻力之後的斷面平均流速。

