沉澱滴定法
此法又稱銀量法。
雖然可定量進行的沉澱反應很多,但由於缺乏合適的指示劑,而套用於沉澱滿定的反應並不多,目前比較有實際意義的是銀量法。因此本人將銀量法用兩種表達方式集合一起給大家參考,希望能讓大家都掌握這個方法。
沉澱滴定法:根據其確定終點指示劑的方法不同常分為三種。
詳細
(一)原理:以AgNO3標準溶液測定Cl-為例
終點前:Ag++Cl-=AgClˉ(白色)Ksp=1.8×10ˉ10
終點時:2Ag++CrO42-=Ag2CrO4ˉ(磚紅色)Ksp=2.0×10ˉ12
沉澱的溶解度S:SAgCl
1.34×10-5mol/L二甲基二碘螢光黃>Br->曙紅>Cl->螢光黃或二氯螢光黃
計量點附近終點出現的早晚與溶液中[CrO42-]有關:
[CrO42-]過大------終點提前------結果偏低(-TE%)
[CrO42-]過小-------終點推遲------結果偏高(+TE%)
(二)指示劑用量(CrO42-濃度)
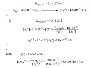
理論計算:在計量點時,溶液中Ag+物質的量應等於Cl-物質的量
銀量法
銀量法
銀量法(2)、(3)代入(1)得
銀量法若計量點時溶液的體積為100ml,實驗證明,在100ml溶液中,當能覺察到明顯的磚紅色Ag2CrO4ˉ出現時,需用去AgNO3物質的量為2.5×10-6mol,即:

實際滴定中:因為K2CrO4本身呈黃色,按[CrO42-]=5.9×10-2mol/L加入,則黃顏色太深而影響終點觀察,實驗中,採用K2CrO4濃度為2.6×10-3mol/L~5.6×10-3mol/L範圍比較理想。(計算可知此時引起的誤差TE<±0.1%)
在實驗中:50~100ml溶液中加入5%K2CrO41ml。
(三)滴定條件
1.溶液的酸度
通常溶液的酸度應控制在pH=6.5~10(中性或弱鹼性),
若酸度高,則:
Ag2CrO4+H=2Ag++HCrO4- Ka2=3.2×10-7
2HCrO4-?Cr2O72-+H2OK=98
若鹼性太強:2Ag++2OH-2AgOH=AgO↓+H2O
當溶液中有少量NH3存在時,則應控制在pH=6.5~7:
NH3++OH-NH3+H2O=Ag+Ag(NH3)2
2.沉澱的吸附現象 先生成的AgCl↓易吸附Cl-使溶液中[Cl-]↓,終點提前,滴定時必須劇烈搖動。AgBr↓吸附更強。
3.干擾離子的影響
①能與Ag+生成沉澱的陰離子(PO43-、AsO43-、SO32-、S2-、CO32-、C2O42-)
②能與Cr2O72-生成沉澱的陽離子(Pb2+、Ba2+)
③在弱鹼性條件下易水解的離子(Al3+、Fe3+、Bi3+)
④大量的有色離子(Co2+、Cu2+、Ni2+)都可能幹擾測定,應預先分離。
(一)原理:
SCN-+Ag+=AgSCN↓(白色)Ksp=1.0×10-12
終點時:SCN-+Fe3+=FeSCN2+(紅色)K穩=138
終點出現早晚與[Fe3+]大小有關。
(二)滴定條件
1.溶液的酸度——在硝酸的酸性條件下進行
2.直接滴定法測定Ag+時,AgSCNˉ吸附Ag+,近終點時劇烈搖動
3.返滴定法測定Cl-時:
Cl-+Ag+(過量)=AgClˉ SAgCl=1.35×10-5mol/L大
Ag+(剩餘)+SCN-?AgSCNˉ SAgSCN=1.0×10-6mol/L小
終點時:SCN-+Fe+=FeSCN2+(紅)發生轉化作用:
AgClˉ+SCN-=AgSCNˉ+Cl-
致使[SCN-]ˉ,已生成的FeSCN2+離解,紅色消失,多消耗SCN-,造成較大誤差,常採取預防措施:
(1)加入有機溶劑硝基苯(有毒)、1,2—二氯乙烷、甘油等,用力搖動,使AgClˉ表面被有機溶劑覆蓋,減少與溶液接觸;
(2)近終點時,防止劇烈搖動;
(3)加入AgNO3先生成AgClˉ後,先加熱至沸使AgCl凝聚。
4.干擾物質
強氧化劑及銅鹽、Hg鹽等,應預先分離或掩蔽。
三.法揚斯法——吸附指示劑
(一)原理:
吸附指示劑大多是有機酸------當被沉澱表面吸附後------結構發生變化------顏色發生變化
例:用AgNO3溶液滴定Cl-,採用有機酸螢光黃指示劑(HFIn),為指示劑:
HFIn=H++FIn-(黃綠色)
計量點前:Ag++Cl-=AgClˉ(白色)
AgCl+Cl-?AgCl=Cl-吸附構晶離子
計量點後—終點時:AgCl+Ag+?AgCl·Ag+(Ag+過量)
AgCl·Ag++FIn-=AgCl+AgFIn
黃綠色粉紅色
(二)滴定條件
2.酸度:一般在中性、弱鹼性、弱酸性溶液中進行
HFIn分子不易被吸附,FIn-陰離子存在與Ka有關.
Ka-允許酸度越高(pH值ˉ)
如:曙紅Ka較大,pH32以上使用;
而螢光黃Ka較小,pH37以上使用。
但:最高pH二甲基二碘螢光黃>Br->曙紅>Cl->螢光黃或二氯螢光黃
沉澱滴定法—銀量法
一、定義
以硝酸銀液為滴定液,測定能與Ag+反應生成難溶性沉澱的一種容量分析法。
二、原理
以硝酸銀液為滴定液,測定能與Ag+生成沉澱的物質,根據消耗滴定液的濃度和毫升數,可計算出被測物質的含量。
反應式:Ag++X-→AgX↓
X-表示Cl-、Br-、I-、CN-、SCN-等離子。
三、指示終點的方法
(一)鉻酸鉀指示劑法
1.原理
用AgNO3滴定液滴定氯化物、溴化物時採用鉻酸鉀作指示劑的滴定方法。滴定反應為:
終點前Ag++Cl-→AgCl↓
終點時2Ag++CrO42-→Ag2CrO4↓(磚紅色)
根據分步沉澱的原理,溶度積(Ksp)小的先沉澱,溶度積大的後沉澱。由於AgCl的溶解度小於Ag2CrO4的溶解度,當Ag+進入濃度較大的Cl-溶液中時,AgCl將首先生成沉澱,而[Ag+]2[CrO42-]<Ksp,Ag2CrO4不能形成沉澱;隨著滴定的進行,Cl-濃度不斷降低,Ag+濃度不斷增大,在等當點後發生突變,[Ag+]2[CrO42-]>Ksp,於是出現磚紅色沉澱,指示滴定終點的到達。
2.滴定條件
(1)終點到達的遲早與溶液中指示劑的濃度有關。為達到終點恰好與等當點一致的目的,必須控制溶液中CrO42-的濃度。每50~100ml滴定溶液中加入5%(W/V)K2CrO4溶液1ml就可以了。
(2)用K2CrO4作指示劑,滴定不能在酸性溶液中進行,因指示劑K2CrO4是弱酸鹽,在酸性溶液中CrO42-依下列反應與H+離子結合,使CrO42-濃度降低過多,在等當點不能形成Ag2CrO4沉澱。
2CrO42-+2H+→←2HCrO4-→←Cr2O72-+H2O
也不能在鹼性溶液中進行,因為Ag+將形成Ag2O沉澱:
Ag++OH-→AgOH
2AgOH→Ag2O↓+H2O
因此,用鉻酸鉀指示劑法,滴定只能在近中性或弱鹼性溶液(pH6.5~10.5)中進行。如果溶液的酸性較強可用硼砂、NaHCO3或CaCO3中和,或改用硫酸鐵銨指示劑法。
滴定不能在氨性溶液中進行,因AgCl和Ag2CrO4皆可生成[Ag(NH3)2]+而溶解。
3.主要套用
本法多用於Cl-、Br-的測定。
(二)硫酸鐵銨指示劑法
1.原理
在酸性溶液中,用NH4SCN(或KSCN)為滴定液滴定Ag+,以Fe3+為指示劑的滴定方法。滴定反應為:
終點前Ag++SCN-→AgSCN↓
終點時Fe3++SCN-→Fe(SCN)2+(淡棕紅色)
鹵化物的測定可用回滴法,需向檢品溶液中先加入定量過量的AgNO3滴定液,以為Fe3+指示劑,用NH4SCN滴定液回滴剩餘的AgNO3,滴定反應為:
終點前Ag+(過量)+X-→AgX↓
Ag+(剩餘量)+SCN-→AgSCN↓
終點時Fe3++SCN-→Fe(SCN)2+(淡棕紅色)
這裡需指出,當滴定Cl-到達等當點時,溶液中同時有AgCl和AgSCN兩種難溶性銀鹽存在,若用力振搖,將使已生成的Fe(SCN)2+絡離子的紅色消失。因AgSCN的溶解度小於AgCl的溶解度。當剩餘的Ag+被滴定完後,SCN-就會將AgCl沉澱中的Ag+轉化為AgSCN沉澱而使重新釋出。
AgCl→←Ag++Cl-
↓
Ag++SCN-→←AgSCN
這樣,在等當點之後又消耗較多的NH4SCN滴定液,造成較大的滴定誤差。
2.滴定條件及注意事項
(1)為了避免上述轉化反應的進行,可以採取下列措施:
a 將生成的AgCl沉澱濾出,再用NH4SCN滴定液滴定濾液,但這一方法需要過濾、洗滌等操作,手續較繁。
b 在用NH4SCN滴定液回滴之前,向待測Cl-溶液中加入1~3ml硝基苯,並強烈振搖,使硝基苯包在AgCl的表面上,減少AgCl與SCN-的接觸,防止轉化。此法操作簡便易行。
c 利用高濃度的Fe3+作指示劑(在滴定終點時使濃度達到0.2mol/L),實驗結果證明終點誤差可減少到0.1%。
(2)此外,用本法時,應注意下列事項:
a 為防止Fe3+的水解,應在酸性(HNO3)溶液中進行滴定,在酸性溶液中,Al3+、Zn2+、Ba2+及CO32-等離子的存在也不干擾。與鉻酸鉀指示劑法相比,這是本法的最大優點。
b 為避免由於沉澱吸附Ag+過早到達終點,在用硝基苯包裹AgCl沉澱時,臨近終點應輕輕鏇搖,以免沉澱轉化,直到溶液出現穩定的淡棕紅色為止。
c 本法測定I-和Br-時,由於AgI和AgBr的溶解度都小於AgCl的溶解度,不存在沉澱轉化問題,不需加入有機溶劑或濾去沉澱,滴定終點明顯確切。
d 滴定不宜在較高溫度下進行,否則紅色絡合物褪色。
(三)吸附指示劑法
1.原理
用AgNO3液為滴定液,以吸附指示劑指示終點,測定鹵化物的滴定方法。
吸附指示劑是一些有機染料,它們的陰離子在溶液中很容易被帶正電荷的膠態沉澱所吸附,而不被帶負電荷的膠態沉澱所吸附,並且在吸附後結構變形發生顏色改變。
若以Fl-代表螢光黃指示劑的陰離子,則變化情況為:
終點前Cl-過量(AgCl)Cl-┇M+
終點時Ag+過量(AgCl)Ag+┇X-
(AgCl)Ag+吸附Fl-(AgCl)Ag+┇Fl-
(黃綠色)(微紅色)
2.滴定條件
為了使終點顏色變化明顯,套用吸附指示劑時需要注意以下幾個問題:
(1)吸附指示劑不是使溶液發生顏色變化,而是使沉澱的表面發生顏色變化。因此,應儘可能使鹵化銀沉澱呈膠體狀態,具有較大的表面。為此,在滴定前應將溶液稀釋並加入糊精、澱粉等親水性高分子化合物以形成保護膠體。同時,應避免大量中性鹽存在,因為它能使膠體凝聚。
(2)膠體顆粒對指示劑離子的吸附力,應略小於對被測離子的吸附力,否則指示劑將在等當點前變色。但對指示劑離子的吸附力也不能太小,否則等當點後也不能立即變色。滴定鹵化物時,鹵化銀對鹵化物和幾種常用的吸附指示劑的吸附力的大小次序如下:
I->二甲基二碘螢光黃>Br->曙紅>Cl->螢光黃
因此在測定Cl-時不能選用曙紅,而應選用螢光黃為指示劑。
(3)溶液的pH應適當,常用的吸附指示劑多是有機弱酸,而起指示劑作用的是它們的陰離子。因此,溶液的pH應有利於吸附指示劑陰離子的存在。也就是說,電離常數小的吸附指示劑,溶液的pH就要偏高些;反之,電離常數大的吸附指示劑,溶液的pH就要偏低些。
(4)指示劑的離子與加入滴定劑的離子應帶有相反的電荷。
(5)帶有吸附指示劑的鹵化銀膠體對光線極敏感,遇光易分解析出金屬銀,在滴定過程中應避免強光照射。
四、形成不溶性銀鹽的有機化合物的測定
巴比妥類化合物,在其結構中的亞胺基受兩個羰基影響,上面的H很活潑,能被Ag+置換生成可溶性銀鹽,而它的二銀鹽不溶於水,利用這一性質可進行測定。
五、滴定液的配製與標定
(一)硝酸銀滴定液
1.配製間接法配製
2.標定用基準氯化鈉標定,以螢光黃指示液指示終點。
3.貯藏置玻璃塞的棕色玻瓶中,密閉保存。
(二)硫氰酸銨滴定液
1.配製間接法配製
2.標定用硝酸銀滴定液標定,以硫酸鐵銨指示液指示終點。
六、注意事項
1.用鉻酸鉀指示劑法,必須在近中性或弱鹼性溶液(pH6.5~10.5)中進行滴定。因鉻酸鉀是弱酸鹽,在酸性溶液中,CrO42-與H+結合,降低CrO42-濃度,在等當點時不能立即生成鉻酸銀沉澱;此法也不能在鹼性溶液中進行,因銀離子氫氧根離子生成氧化銀沉澱。
2.應防止氨的存在,氨與銀離子生成可溶性[Ag(NH3)2]+絡合物,干擾氯化銀沉澱生成。
3.硫酸鐵銨指示劑法應在稀硝酸溶液中進行,因鐵離子在中性或鹼性介質中能形成氫氧化鐵沉澱。
4.為防止沉澱轉化(AgCl+SCN-→←AgSCN+Cl-),硫酸鐵銨指示劑法加硝酸銀滴定液沉澱後,應加入5ml鄰苯二甲酸二丁酯或1~3ml硝基苯,並強力振搖後再加入指示液,用硫氰酸銨滴定液滴定。
5.滴定應在室溫進行,溫度高,紅色絡合物易褪色。
6.滴定時需用力振搖,避免沉澱吸附銀離子,過早到達終點。但滴定接近終點時,要輕輕振搖,減少氯化銀與SCN-接觸,以免沉澱轉化。
7.吸附指示劑法,滴定前加入糊精、澱粉,形成保護膠體,防止沉澱凝聚使吸附指示劑在沉澱的表面發生顏色變化,易於觀察終點。滴定溶液的pH值應有利於吸附指示劑的電離,隨指示劑不同而異。
8.吸附指示劑法選用指示劑應略小於被測離子的吸附力,吸附力大小次序為I->二甲基二碘螢光黃>Br->曙紅>Cl->螢光黃。
9.滴定時避免陽光直射,因鹵化銀遇光易分解,使沉澱變為灰黑色。
10.有機鹵化物的測定,由於有機鹵化物中鹵素結合方式不同,多數不能直接採用銀量法,必須經過適當處理,使有機鹵素轉變成鹵離子後再用銀量法測定。
七、適用範圍
1.鉻酸鉀指示劑法:在中性或弱鹼性溶液中用硝酸銀滴定液滴定氯化物、溴化物時採用鉻酸鉀指示劑的滴定方法。
2.硫酸鐵銨指示劑法:在酸性溶液中,用硫氰酸銨液為滴定液滴定Ag+,採用硫酸鐵銨為指示劑的滴定方法。
3.吸附指示劑法:用硝酸銀液為滴定液,以吸附指示劑指示終點測定鹵化物的滴定方法。
八、允許差
本法的相對偏差不得超過0.3%。
簡介
利用沉澱反應進行容量分析的方法。生成沉澱的反應很多,但符合容量分析條件的卻很少,某些沉澱的組成不定,反應沒有確定的計量關係;不少沉澱的溶解度較大,反應不完全;還有的反應速率低或存在副反應。實際上套用最多的是銀量法,即利用Ag+與鹵素離子的反應來測定Cl-、Br-、I-、SCN-和Ag+。銀量法共分三種,分別以創立者的姓名來命名。莫爾法 在含Cl-的中性或弱鹼性試液中,加入指示劑鉻酸鉀,然後用硝酸銀標準溶液滴定。由於氯化銀的溶解度比鉻酸銀小,所以氯化銀先沉澱,當磚紅色的鉻酸銀沉澱生成時,表明Cl-已被定量沉澱,指示終點已經到達 (見彩圖)。沉澱滴定的滴定曲線見圖。
沉澱滴定法
沉澱滴定法
沉澱滴定法
沉澱滴定法福爾哈德法 ①直接滴定法 在含 Ag+的酸性試液中,加入鐵銨礬 【NH4Fe(SO4)2】 為指示劑,以硫氰酸銨NH4SCN為滴定劑,先生成硫氰酸銀白色沉澱,當紅色的FeSCN2+出現時,表示Ag+已被定量沉澱,指示終點已到達。此法主要用於測Ag+。
②返滴定法 在含鹵素離子的酸性溶液中,先加入一定量的過量的硝酸銀標準溶液,再加入指示劑鐵銨礬,以硫氰酸銨標準溶液滴定過剩的Ag+,直到出現紅色為止。以測定Cl-為例,其反應為:
Cl-+Ag+→AgCl↓
Ag++SCN-→AgSCN↓
SCN-+Fe3+→FeSCN2+
硝酸銀與硫氰酸銨用量之差即欲測的 Cl-的量。此法的優點是選擇性高,不受弱酸根離子的干擾。但在測定Cl-時,由於氯化銀的溶解度比硫氰酸銀大,在到達終點時將有部分的Cl-由沉澱轉入溶液,使測定值偏低。如果加入硝基苯,將沉澱包住,可以防止其轉化,而得到更準確的結果。法揚斯法 在中性或弱鹼性的含 Cl-試液中加入吸附指示劑螢光黃HIn,溶液顯示In-的黃綠色。當用硝酸銀滴定時,在到達等當點以前,Cl-處於過剩狀態,氯化銀沉澱的表面吸附Cl-,使沉澱表面帶負電,溶液仍顯示In-的黃綠色。在等當點後,Ag+過剩,沉澱的表面吸附Ag+而帶正電,它進一步吸附帶相反電荷的In-,使沉澱結構改變,沉澱表面顯示粉紅色,從而指示終點已到達。此法的優點是方便。為使終點明顯,可加入糊精以增大沉澱的表面。滴定時應注意避免陽光直射以防止氯化銀沉澱分解,還要控制溶液的酸度。
溶液標定 銀量法中的硝酸銀標準溶液可用基準物質氯化鈉標定;硫氰酸銨溶液可用已標定的硝酸銀標準溶液來標定。
配圖
沉澱滴定法
沉澱滴定法
沉澱滴定法
沉澱滴定法