定義
氧虧又稱缺氧量,在環境學領域指水體中飽和溶解氧和現存溶解氧的差值。水體中耗氧愈多,氧虧愈大,同時由大氣補充水中的氧量也愈多 。
氧虧曲線
氧虧曲線 河流氧虧曲線及BOD分布曲線是分析河流水質污染狀況,評價河流水質的重要方面。污染源下游溶解氧隨距離(或時間)的變化曲線稱為溶解氧虧曲線 。向溪流中加入可被氧化的污染物,將產生如右圖所示的典型氧虧曲線 。從曲線可看出溶解氧先是逐漸減少,這是污染物排入後以耗氧為主的階段,之後達最低點,然後溶解氧又逐漸增大,這是以復氧為主的階段,再經過一段距離或時間,河流有恢復到原來的含氧狀態。曲線中溶解氧的最低點稱為臨界點,該點的溶解氧若低於水質標準值,則該河段失去原有使用價值。
公式計算
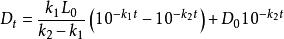
氧虧量計算方程如下:
氧虧 式中:D—為t時刻的氧虧(缺氧量);
L—為初始生物化學需氧量;
D—為初始的氧虧;
k、k—分別為以10為低好氧係數和復氧係數。

