簡介
氧垂曲線有機物排入河流後,經微生物生物降解而大量消耗水中的溶解氧,導致河水迅速虧氧,另一方面,空氣中的氧通過河流水面不斷地溶入水中,使溶解氧逐漸得到恢復。微生物耗氧與大氣復氧同時作用,使河流中的DO與BOD濃度處於右圖所示變化模式中。途中o點耗氧速率等於復氧速率,稱為氧垂點或臨界虧氧點 。
(1)a~o段,耗氧速率大於復氧速率,水中的溶解氧含量大幅度下降,虧氧量增加,直至耗氧速率等於復氧速率。o點處,溶解氧量最低,虧氧量最大,稱為臨界虧氧點或氧垂點;
(2)o~b段,復氧速率開始超過耗氧速率,水中溶解氧量開始回升,虧氧量逐漸減少,直至轉折點b;
(3)b點以後,溶解氧含量繼續回升,虧氧量繼續減少,直至恢復到排污口前的狀態。
計算公式
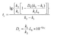
氧垂曲線到達氧垂點的時間,可由氧垂曲線公式求得,即:
氧垂點令dD/dt=0時,
氧垂點式中:D—廢水排入河流t時刻後,河水與廢水混合水中的虧氧量;
D—廢水排入點處河水與廢水混合水中的虧氧量;
k,k—分別為耗氧速率常數和復氧速率常數;
t—從排污點到氧垂點所需的時間,d;
D—臨界點的虧氧值。
注意事項
套用上述公式時,應注意以下幾點:
(1)公式只考慮了有機物生化耗氧和大氣復氧兩個因素,故僅適用於河流截面變化不大,藻類等水生植物和底泥影響可忽略不計的河段;
(2)僅適用於河水和污水在排放點處完全混合的條件;
(3)所使用的k、k值必須與水溫相適應;
(4)如沿河流有幾個排放點,則應根據具體情況合併成一個排放點計算或逐段計算。

