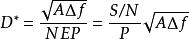
歸一化探測率定義式
歸一化探測率歸一化探測率或比探測度 ,可定義為:
歸一化探測率
歸一化探測率單位為 ,即當探測器回響元面積為1cm²,放大器頻寬為1Hz時,單位功率所能給出的信噪比。這個數值越大,探測器性能越好。幾種常用探測器光譜探測率如下圖所示 。
常用探測器的光譜探測率此指標是從光電探測器的若干可直接測得的指標提取出來的,能夠較準確反映光電探測材料探測弱光的極限性能。
歸一化探測率的測量
基本原理
根據定義,歸一化探測度可表示為:
歸一化探測率
歸一化探測率
歸一化探測率
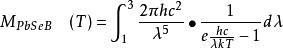
歸一化探測率實驗用500 K黑體作輻射源。
根據普朗克公式,黑體在單位面積上在單位波長間隔內發射的輻射功率為:
歸一化探測率
歸一化探測率
歸一化探測率
歸一化探測率
歸一化探測率
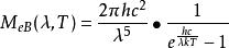
歸一化探測率式中,普朗克常數 ;玻爾茲曼常數 ;光速 ; 為輻射波長; 為熱力學溫度。
歸一化探測率黑體在 波段範圍內的輻射功率為:
歸一化探測率PbS光敏元件的回響波段為1~3μm,在此波段內的輻射功率為:
歸一化探測率經數值積分計算得:
歸一化探測率探測器接收到的功率P為:
歸一化探測率
歸一化探測率
歸一化探測率式中,A為探測器面積;A/r²為接收視場立體角; 為黑體光闌孔徑面積;r為黑體光闌孔徑至探測器靈敏面的距離; 為輻射係數,取0.99;m為調製轉換係數,這裡取0.28(三角波調製)。
當黑體輻射爐和探測器確定後,上述參量就是一些常數。故探測器的接收功率是確定的,而相應的探測器的輸出電壓噪電壓可以測出,因此可計算出探測器的回響度和探測度 。
試驗步驟
試驗裝置如下圖所示:
探測度測試試驗裝置圖(1)接通黑體輻射爐電源,並使黑體溫度維持在227℃,即絕對溫度500 K。
(2)接通探測器的偏置電源(+50 V)及放大器供電電源(+12 V)。
(3)把頻譜分析儀的旋鈕放在適當位置。
(4)把放大器的輸出端和頻譜分析儀的輸入相連線,並接通頻譜分析儀的電源開關。
(5)接通調製盤電機電源。
(6)用頻譜分析儀測量輸出信號電壓。
(7)測量噪聲電壓,用黑紙遮擋住黑體輻射源視窗,測量與調製頻率相應的噪聲電壓。
(8)改變電機電壓(即改變調製頻率),測量不同調製頻率下的輸出信號電壓和噪聲電壓。
使用儀器及元件
(1)頻譜分析儀;(2)電晶體穩壓電源;(3)黑體輻射源;(4)PbS元件及放大器。
探測率與歸一化探測率
顯然噪聲等效功率NEP越小,光電器件的性能越好。但參數NEP不符合人們的傳統認知習慣。為此定義NEP的倒數為光電器件的探測度,作為衡量光電器件探測能力的一個重要指標。探測率D用公式表示為:
歸一化探測率
歸一化探測率D的單位是 。它描述的是器件在單位輸入光功率下輸出的信噪比,顯然D值大,光電器件的性能越好。
歸一化探測率
歸一化探測率
歸一化探測率
歸一化探測率
歸一化探測率與歸一化噪聲等效功率相應的歸一化探測率又稱為比探測率用 表示, 後面常附有測量條件,如 (500K,900,1)表示是用500K黑體作光源,調製頻率為900Hz,測量頻寬為1Hz。對於長波紅外光電器件,因環境輻射波長與信號波長十分接近,因此的測量與背景溫度及測量視場角有關。在沒有特殊標註的情況下,通常是指視場立體角為2π球面度,背景溫度為300K。當光電器件的質量很高,內部噪聲很低以至於可以忽略不計時,僅由背景噪聲決定,這種器件稱為達到背景限的探測器 。

