遙感
遙感是非接觸的、遠距離的探測技術,一般指使用空間運載工具和現代化的電子、光學探測儀器,探測遠距離研究對象,並根據探測到的信息對研究對象的性質、特徵和狀態進行分析的理論、方法和套用的科學技術。
特點
遙感主要具有以下特點:
(1)感測範圍大,具有綜合和巨觀的特點;
(2)信息量巨大、多視角、技術先進;
(3)速度快、周期短,具有動態監測的特點;
(4)用途廣、效率高。
分類
遙感的分類方式有很多種。
(1)按遙感工作平台的不同,可分為航天遙感、航空遙感和地面遙感;
(2)按電磁波的波段分類,可分為紅外遙感、微波遙感和可見光遙感;
(3)按遙感套用的不同.可分為林業遙感、農業遙感、海洋遙感、環境遙感、地質遙感等。
研究內容
遙感信息系統需要研究地物波譜、影像波譜以及兩者之間的關係;衛星遙感的數據、圖像、波譜以及三者之間的關係;非遙感數據歸一化形成的圖像與“波譜”;非遙感數據與遙感數據的融合問題。
地物波譜與影像波譜
第二次世界大戰後,隨著半導體技術的發展,蘇聯和美國兩個超級大國在軍事上開始研究地物的反射波譜和發射波譜,主要是為了給地面軍事偽裝提供根據,同時為航空相片的判斷提供依舊。衛星遙感最早也是為了揭露軍事偽裝而設計的,因此開始的遙感影像就是根據地物波普特徵設計的多波段遙感感測器。1978年,西德慕尼黑大學已經為美國NASA選擇了1.55~1.75μm和2.08~2.335μm兩個波段,即後來Landsat TM5、TM7所使用的波段。隨著半導體技術的快速發展,遙感感測器的製造有了長足的進步,21世紀初,美國發射的替代陸地衛星Landsat的EO-1衛星上的Hype日歐尼感測器已經是220波段了,因此地物波譜的重要性逐漸被影像波譜所代替。
(1)地物波譜。從紫外線(0.30~0.38μm)到可見光(0.38~0.76μm)、近紅外(0.76~2.50μm)的反射波譜,中紅外(3.0~5.0μm)、熱紅外(8.0~14.0μm)的發射波譜,連續地可測出地物的波譜,波段以及波段間隔可以達到納米級的水平,微波可分毫米波、厘米波、分米波等可以測出被動或者主動的離散波譜。在20世紀70~80年代國內外發表的發射波譜論文較多,90年代隨著高光譜遙感與微波遙感的發展,反射、發射、散射波譜都有研究。地址波譜在早期對於設計遙感感測器是有意義的,對於目視解譯也是有貢獻的,隨著感測器的發展,直接從衛星的高度測量像元的地物波譜,更具有意義。
(2)影像波譜。可見光、近紅外、中紅外、熱紅外的感測器使用半導體掃瞄器或者CCD器件;微波感測器使用波導以及天線設備。EO-1/Hyperion遙感感測器共有220個波段。影響波譜具有三個坐標軸,一個是灰度坐標,0~255歸一化數據;一個是波段坐標,1~220波段,從可見光到近紅外;一個是時間坐標,如果收集每天的數據,則為1~365天。不同的地物在不同的時間、不同的波段上有不同的灰度值,影像波譜的研究,國內外的論文較少。
(3)地物波譜和影像波譜之間的關係。地物波譜和影像波譜之間的差別主要是受到大氣的影響。地物波譜在離地面1.5~20m的高度測試得到;而影像波譜大約在近1000km的高度上測得的,是經過功能放大以後,再歸一化得到的。1000km的大氣由吸收、反射、透射、折射等影響,因此地物波譜與影像波譜之間的差別,主要是為大氣的影響。另一方面,地物波譜一般為連續波譜,影像波譜是離散波譜。
影像數據中的數圖譜
在一瞬間獲得的遙感影像,具有數據(灰度)、圖像(像元)、波段(光譜)三個基本參數,從而構成遙感影像的數、圖、譜的研究。
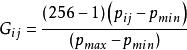
(1)灰度數據。在近1000km高空的衛星上,遙感感測器中的探測元件所測得的反射、發射、後向散射的物理量,能量非常之小,必須經過功放才能被記錄,而且功放的方式隨著可分辨的程度,可以進行線性功放或者非線性功放。記錄的連續性物理量經過隨時間、空間的採樣,形成離散的、歸一的灰度值,在最大與最小的物理量之間,內插數據,一般線性內插的公式為:
遙感信息系統
遙感信息系統
遙感信息系統
遙感信息系統
遙感信息系統其中,為像元(i,j)(其中i 表示行像元,j 代表列像元)的灰度,p為反射率,、、分別為反射率的極大值、極小值、像元(i,j)的反射率。由上式計算的歸一化灰度值,介於0~255之間。圖像中每一個像元都有介於0~255之間的灰度值。
(2)波段灰度。同時成像的感測器,由於探測元件半導體的相同與不同,像元位置、大小有相同與不同兩種不同的情況。一般而言,可見光波段、近紅外波段的探測元件是相同的,那么不同波段的像元位置與大小是相同與相等的,僅僅是不同波段的探測元件不同,則像元的位置與大小就是不同與不等的,遇到像元位置與大小不同與不等時,需要進行圖像處理,將兩種不同像元位置與大小的影像融合成相同位置與相等大小的影像,即圖像像元的配準與分割。對新配準與分割的圖像需要重新賦予按照地物波譜特徵規律的灰度值。
(3)圖像變化。由不同灰度構成的影像,灰度隨著空間是變化的,灰度在空間上的梯度,即為紋理的強度,紋理強度在空間上的梯度,即為紋理密度。除了灰度圖像外,可以計算影像的紋理強度圖像和紋理密度圖像,這就是圖像的變化。
分波段的灰度影像、紋理強度影像、紋理密度影像是遙感影像中最基本的圖像,地物在這些影像上的特徵,就是識別、分類、解譯、提取的根據。一般的遙感圖像處理方法,只利用了各個波段的灰度,沒有充分使用紋理強度和紋理密度的影像,使得自動分類裹足不前。
歸一化的非遙感數據
單一地使用遙感數據,往往那個不能解決地理現象的規律性問題,還要輔助以各種地面實測數據和野外路線考察的資料。為此,必須考率是否能夠將非遙感數據歸一化成影像數據,使得非遙感數據也能夠參與影像數據的計算。
數字高程模型是使用最早的非遙感像元數據,將地形圖的等值線進一步加密,內插高程數據,使得每一個格線中都有高程數據,當高程格線加密到於遙感影像像元一樣時,就變成非遙感成像的數字高程圖像了。
遙感非遙感數據融合
遙感數據與非遙感數據的融合主要分為兩個部分,一部分是幾何配準的問題,另一部分是屬性之間的關係問題。
(1)幾何配準。遙感與非遙感數據之間,關鍵在於像元的配準,像元配準包括兩類,一類是位置配準,另一類是大小配準。位置配準的方法是以數字高程模型為標準,將遙感與非遙感數據都與數字高程模型配準,存在數字高程模型的精度、準確度以及不同比例尺的數字高程模型之間的轉化問題。像元大小,或者說是格線大小的配準,主要是計算像元或格線大小之間的比例,最簡單的方法是根據研究的需要,一律進行重新採樣,無論是遙感影像,還是非遙感地理屬性圖像,在重新採樣的過程中配準。
(2)屬性融合。地理屬性之間的關係也分為兩類,一類是簡單性關係,一類是複雜性關係。地理屬性之間的簡單性關係,就是遙感波段與波段之間、遙感與非遙感之間的疊加、組合、分類等,這是一般遙感圖像處理軟體已經具備的功能。地理屬性之間的複雜性關係,所謂獨立地理因素是相對的,地理因素與因素之間不僅僅具有兩兩關係,常常是牽一髮而動全身,多因素互相牽動,因此屬性融合是要靠地理複雜模型來解決的。在遙感圖像處理中,屬性融合的軟體,主要是準備好各種數學的運算功能,例如加、減、乘、除、乘方、開方、對數、量綱分析等。
相關軟體的要求
遙感信息系統的軟體主要是處理圖像的軟體。為了與地理信息系統接口,圖像與圖形之間的轉化也是該軟體所應該具備的功能。遙感信息系統的軟體需具備以下四個層次:
系統和子系統
根據專業用戶的需求,應該設計專用的遙感圖像系統,這種專用的遙感圖像系統的效率高、成本低。在遙感信息系統中,用戶面對的是遙感影像系統與子系統,因此在設計遙感影像系統與子系統時,必須以用戶的需求為目標,進行既能滿足用戶需求,又不冗餘的軟體。這個系統包括10個子系統:
(1)輸入輸出子系統;
(2)遙感影像預處理子系統;
(3)非遙感影像預處理子系統;
(4)遙感與非遙感數據融合子系統;
(5)分類子系統;
(6)解譯子系統;
(7)提取子系統;
(8)模型子系統;
(9)製圖子系統;
(10)圖例子系統。
模組庫
針對上述10個子系統,以及各個子系統之間的關係,首當其衝的模組是界面與接口模組;遙感影像的預處理包括幾何校正、影像增強、影像配準;非遙感數據的預處理包括數據影像化、影像配準;遙感與非遙感數據融合,主要也都是配準;分類包括監督分類與非監督分類;解譯包括人機界面與先驗知識的增加、刪除與修改;屬性提取需要抽取、屬性疊合;模型需要量綱分析、模型計算;製圖與圖例需要色彩平衡、圖例設計模組。因此遙感圖像模組庫共有14個模組,根據用戶需求不同,子系統不同,所需要的模組也是不同的。14個模組為:
(1)界面接口模組;
(2)幾何校正模組;
(3)影像增強模組;
(4)數據影像化模組;
(5)影響配準模組;
(6)監督分類模組;
(7)非監督分類模組;
(8)先驗知識模組;
(9)屬性抽取模組;
(10)屬性疊合模組;
(11)量綱分析模組;
(12)模型計算模組;
(13)色彩平衡模組;
(14)圖例設計模組。
以上這14個模組是獨立的,在組成子系統時,可以重複使用。
組件庫
模組是由組件構成的,遙感圖像組件庫中的組件是獨立的,模組的構成,可使用相同的幾個組件,或者不同的幾個組件。若組件多次被模組調用,模組又多次被子系統調用,則軟體是冗餘的。但是從底層獨立軟體來看,邏輯與層次是清楚的,而且從函式與檔案來看,是軟體的最低公倍數,軟體又是最節省的。組件庫最大的優點就是,在調用軟體時,因為邏輯合理,不會衝突,不會當機。
綜合函式館與檔案庫
組件是由遙感圖像綜合函式館與檔案庫中的函式與檔案構成的,函式與檔案更是唯一的、獨立的。綜合檔案、檔案庫與組件庫是開發研究人員的軟體資源。

