無窮級數
條件收斂
條件收斂
條件收斂
條件收斂
條件收斂
條件收斂對任意項級數 ,若 收斂,則稱原級數 絕對收斂;若原級數 收斂,但取絕對值以後對級數發散,則稱原級數條件收斂。
反常積分
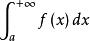
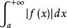
無窮限積分
條件收斂
條件收斂
條件收斂類似的,如果收斂,則稱絕對收斂;
條件收斂
條件收斂
條件收斂如果收斂,而發散,則稱條件收斂。
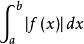
瑕積分
條件收斂
條件收斂
條件收斂類似的廣義積分,在[a,b]上有瑕點,如果收斂,則稱絕對收斂;
條件收斂
條件收斂
條件收斂如果收斂,而發散,則稱條件收斂。
經濟學
經濟學中的收斂,分為絕對收斂和條件收斂。
絕對收斂(Absolute Convergence),指的是,不論條件如何,窮國比富國收斂更快。
條件收斂(Conditional Convergence),指的是技術給定,其他條件一樣的話,人均產出低的國家,相對於人均產出高的國家,有著較高的人均產出增長率,一個國家的經濟在遠離均衡狀態時,比接近均衡狀態時,增長速度快。

