分類
按截面形式分
木建築側面簡圖按所用材料分
石柱、磚柱、砌塊柱、木柱、鋼柱、鋼筋混凝土柱、勁性鋼筋混凝土柱、鋼管混凝土柱和各種組合柱;按長細比分為
柱的其中之一短柱在軸心荷載作用下的破壞是材料強度破壞,
長柱在同樣荷載作用下的破壞是屈曲,喪失穩定,根據歐拉公式分析。
承壓中長柱通常採用經驗公式計算。
柱是結構中極為重要的部分,柱的破壞將導致整個結構的損壞與倒坍。
柱體失穩
圖1 受壓柱的兩種平衡狀態圖1受壓柱的兩種平衡狀態
a能恢復原態的平衡狀態
b不能恢復原態的平衡狀態
根據細長程度的不同,柱的失效可分為:細長柱的線彈性失穩,中長柱的非線彈性失穩和短柱的強度破壞。
細長柱的線彈性失穩
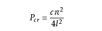
細長柱失穩時應力並未超過比例極限(見材料的力學性能)。失穩後柱的受力性質起了變化,壓力的輕微增加會引起彎曲變形的明顯增大,表明柱已喪失承載能力。設失穩前柱的軸線為理想直線,壓力作用線與軸線重合,材料服從胡克定律,且失穩後撓度很小,則細長柱臨界壓力的計算公式為:

式中E為材料的彈性模量,I為柱截面的形心主慣性矩(見截面的幾何性質),l為柱的長度;μ為和約束條件有關的係數,對兩端鉸支的柱,μ=1;對一端固定另一端自由的柱,μ=2。
L.歐拉曾給出一端固定另一端自由的柱的臨界壓力公式,即



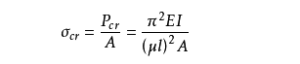
則臨界應力可表示為:



從而得到歐拉公式使用的範圍是:λ>λ1。
中長柱的非線彈性失穩
柔度小於λ1的柱,其應力往往在低於式(4)時,就已超過比例極限,因而往中開始出現塑性變形。但仍和細長彈性柱相似,在某一極限壓力下,柱的直線平衡狀態會由直線過渡為曲線。這一極限壓力也稱為臨界壓力。應力超過比例極限後的失穩稱為非線彈性失穩。計算非線彈性失穩臨界壓力的公式有多種,既有理論公式(如切線彈性模量公式和折減彈性模量公式),又有以大量實驗資料為基礎建立起來並在工程中得到普遍套用的經驗公式(如直線公式和拋物線公式等);
①切線彈性模量公式對兩端簡支的柱,切線彈性模量公式為:




③直線公式和拋物線公式這些公式都是根據實驗資料建立的經驗公式。直線公式把臨界應力和柔度λ表示為直線關係,即


短柱的強度破壞
柔度很小的短柱的受壓破壞一躲都是由於壓應力達到強度極限而造成壓潰,或因應力達到屈服極限而出現過大的塑性變形。所以這種破壞是強度不足而引起的。上述結論中都假設柱的軸線為理想直線,壓力和軸線重合且材枓是均勻的。在這種理想情況下,當P<Pcr時,柱為直線平衡;而P=Pcr當時,柱開始由直線平衡過渡為曲線平衡。這樣,壓力P和最大撓度δ的關係由圖3中的折線OAB表示。但實際上,柱的軸線難免有一些初彎曲,難以保證壓力和軸線完全重合,況且材料也不是絕對均勻而可能存在某種缺陷。因此,在載荷達到歐拉力以前,柱已經出現彎曲變形。P和δ的關係如圖3中曲線所示。曲線後段的下降是由塑性變形引起的。柱越接近理想情況,曲線就越接近折線OAB。

![柱[建築] 柱[建築]](/img/0/0de/nBnauM3XyUDN1ATOzYjNykjN3QTM4IjMwgTNzQTNwAzMwIzL2YzL2AzLt92YucmbvRWdo5Cd0FmLzE2LvoDc0RHa.jpg)
