簡介
這個方程組最初出現在達朗貝爾的著作中(d'Alembert1752)。後來歐拉將此方程組和解析函式聯繫起來(Euler1777)。然後柯西(Cauchy1814)採用這些方程來構建他的函式理論。黎曼關於此函式理論的論文(Riemann1851)於1851年問世。
方程
柯西-黎曼方程(1a)əu/əx=əv/əy和(1b)əu/əy=-əv/əx
柯西-黎曼方程是函式在一點可微的必要條件。
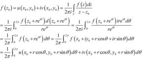
通常,u和v取為一個複函數的實部和虛部:f(x+iy)=u(x,y)+iv(x,y)。假設u和v在開集C上連續可導。則f=u+iv是全純的,若且唯若u和v的偏微分滿足柯西-黎曼方程組(1a)和(1b)。

