定義
本性奇點
本性奇點
本性奇點
本性奇點
本性奇點
本性奇點
本性奇點
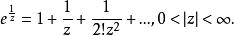
本性奇點如果函式 在其孤立奇點b的一個去心鄰域內展開成洛朗級數,其中含有無窮多個(z-b)的負冪項,則稱b點為 的本性奇點。這與前面的定義是一致的,因為如果 時函式 在b點鄰域內展成的洛朗級數含有有限個(z-b)的負冪次項,那么,若 在b點的洛朗展開式含有無窮多個(z-b)的負冪次項,則極限 必然不存在,而這正是前面給出的本性奇點定義。例如,函式 ,當z=0時其值不確定,而在z=0的鄰域內解析,所以z=0是 的孤立奇點。它展開成冪級數為
本性奇點含有無限多個負冪項,所以z=0是它的本性奇點。
本性奇點
本性奇點
本性奇點
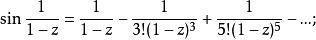
本性奇點又如,z=1是函式 的孤立奇點,當 時,該函式的極限不存在,且不為 ,所以z=1是該函式的本性奇點。也可以在 環域內將該函式展開成洛朗級數
本性奇點可見,上式有無窮多個(1一z)的負冪項。所以z=1是該函式的本性奇點。
本性奇點的特性
本性奇點
本性奇點
本性奇點
本性奇點
本性奇點
本性奇點
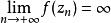
本性奇點定理1(維爾斯特拉斯定理) :設 為函式 的孤立奇點,則 為 的本性奇點的充分必要條件是:對於任何複數A(包括無窮),一定存在收斂於 的序列 ,使得 .
本性奇點換句話說,在本性奇點的無論怎樣小的鄰環內, 可以任意接近預先給定的任何有限數或趨於無窮.
證 : 由本性奇點定義可知,條件的充分性是明顯的,以下證明必要性.
本性奇點
本性奇點
本性奇點
本性奇點
本性奇點
本性奇點
本性奇點
本性奇點
本性奇點
本性奇點
本性奇點
本性奇點(1)若 ,我們要證明存在一個收斂於 的序列 ,使得 .事實上,因為 是 的本性奇點,所以 在 的鄰環內無界。也就是說,對於任意正整數n,都可以找到點 滿足 ,使得 .於是,有一個趨於 的序列{%),使
本性奇點
本性奇點
本性奇點
本性奇點
本性奇點
本性奇點
本性奇點
本性奇點
本性奇點
本性奇點
本性奇點
本性奇點
本性奇點
本性奇點
本性奇點
本性奇點
本性奇點
本性奇點
本性奇點
本性奇點
本性奇點
本性奇點
本性奇點(2)若A是任意有限複數.如果在 點的任意小的鄰環內均存在z點,使得 ,則顯然有一個趨於 的序列 ,使 .如果存在 的一個鄰環,在其中.則函式在這個鄰環內解析,並且可以證明是的本性奇點.事實上,如果是的可去奇點或極點,則當時趨於有限數或無窮大.從而,當時趨於有限數,與為的本性奇點的假設矛盾.於是,根據(1)的證明,必存在趨於的序列,使得.因此,.定理證畢。
本性奇點
本性奇點
本性奇點
本性奇點
本性奇點定理2(畢卡定理) : 如果為的本性奇點,則對於每一個有限複數 A(至多有一個例外值),均有趨於的點列,使。

