例子
例如函式:
可去奇點對z≠ 0 有一個奇點z= 0。藉由定義f(0)=1,可將此奇點消去,並得到全純的sinc函式。
確切地,如果U是複平面C的一個開集,a是U中一點,f:U- {a} →C是一個全純函式,如果存在一個在U- {a} 與f相等的全純函式g:U→C,則a稱為f的一個可去奇點。如果這樣的g存在,我們說f在a是可全純延拓的。
黎曼定理
黎曼關於可去奇點的定理指出了何時一個奇點是可去的:
定理下列情形是等價的:
i)f可全純延拓到a。
ii)f可連續延拓到a。
iii) 存在a的一個鄰域,在它上面f有界。
iv) limz→a(z - a)f(z) = 0.
蘊含關係 i) ⇒ ii) ⇒ iii) ⇒ iv) 是平凡的。為了證明 iv) ⇒ i),我們首先回憶到一個函式在a的全純性等價於解析,即有一個冪級數表示。定義
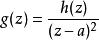
可去奇點則
可去奇點這裡由假設(z - a)f(z)可以視為一個D上的連續函式。換句話說,h在D上全純從而有在a的泰勒級數:
可去奇點所以
可去奇點是f在a的全純延拓,這就證明了先前的斷言。
其它類型奇點
不像實變數函式, 全純函式有足夠的剛性使得其孤立奇點可完全分類。一個全純函式的奇點要么其實不是真正的奇點,即可去奇點,要么是如下兩類居其一:
受黎曼定理啟示,給定一個不可去奇點,我們可能問是否存在一個自然數m使得 limz→a(z - a)f(z) = 0。如果存在,a稱為f的一個極點,這樣最小的m稱為a的階數。所以可去奇點恰好是零階極點。一個全純函式在極點附近一致發散到無窮遠點。
如果f的一個孤立奇點a既非可去奇點也非極點,則稱本性奇點。皮卡定理指出f將任意穿孔開鄰域U- {a} 映滿整個複平面,至多少一個可能的例外點。
1.受黎曼定理啟示,給定一個不可去奇點,我們可能問是否存在一個自然數m使得 limz→a(z - a)f(z) = 0。如果存在,a稱為f的一個極點,這樣最小的m稱為a的階數。所以可去奇點恰好是零階極點。一個全純函式在極點附近一致發散到無窮遠點。
2.如果f的一個孤立奇點a既非可去奇點也非極點,則稱本性奇點。皮卡定理指出f將任意穿孔開鄰域U- {a} 映滿整個複平面,至多少一個可能的例外點。
參見
•解析容量(Analytic capacity)
•可去不連續點(Removable discontinuity)
