概述
旋量場
旋量場由所描寫的自旋為1/2的場就稱為旋量場。旋量場是由狄拉克方程中引入的,與狄拉克方程有關。量子場論中,場量是一個算符,它表示粒子的湮沒和反粒子的產生,因此稱為旋量場算符。
旋量又稱為“螺旋”,是一組同時表示矢量的方向和位置的對偶矢量,可以表示剛體的角速度和線速度,或者表示剛體力學中的力和力矩。這樣一個含有6個標量的旋量概念,具有幾何意義明確、表達形式簡單、代數運算方便、理論難度不高等優點,因而在太空飛行器、機器人等多體系統分析中得到了廣泛的套用。
基本原理
旋量場
旋量場
旋量場
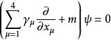
旋量場狄拉克方程 是描寫自旋為1/2的粒子的場方程,方程中 是四行四列的狄拉克矩陣, 是四行一列的矩陣, 是粒子的質量。自旋為1/2的電子、正電子、質子、中子等粒子的場都由狄拉克方程來描寫。
旋量場
旋量場
旋量場狄拉克方程的解 是一個四分量的波函式: ,稱作狄拉克旋量。因而,由所描寫的自旋為1/2的場稱為旋量場。
旋量場在量子場論中,場量是一個算符,它表示粒子的湮沒和反粒子的產生,因此稱為旋量場算符。
