簡介
量子場論中, 狄拉克旋量(英語:Dirac spinor)為一雙旋量,出現在自由粒子狄拉克方程的平面波解中:
狄拉克旋量自由粒子的狄拉克方程為:
狄拉克旋量
狄拉克旋量
狄拉克旋量
狄拉克旋量
狄拉克旋量
狄拉克旋量
狄拉克旋量
狄拉克旋量
狄拉克旋量其中(採用自然單位制),為相對論性自旋½場,是狄拉克旋量,與波矢為的平面波有關,為平面波的四維波矢,而為任意的,為一給定慣性系中的四維空間坐標。
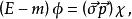
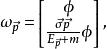
正能量解所對應的狄拉克旋量為
狄拉克旋量
狄拉克旋量
狄拉克旋量
狄拉克旋量
狄拉克旋量其中為任意的雙旋量,為泡利矩陣,為正根號
源自狄拉克方程的推導
狄拉克方程的形式為:
狄拉克旋量
狄拉克旋量推導出4-旋量前,可先注意矩陣 α與 β的值:
狄拉克旋量此二為4×4矩陣,與狄拉克矩陣有關。其中 0與 I為2×2矩陣。
下一步則是找出下式的解:
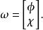
狄拉克旋量此處可將ω分為兩個2-旋量:
狄拉克旋量結果
將上方資料帶入狄拉克方程,可得
狄拉克旋量此矩陣方程實際上是為兩條聯立方程:
狄拉克旋量
狄拉克旋量
狄拉克旋量對第二條方程求的解,可得
狄拉克旋量
狄拉克旋量對第一條方程求的解,可得
狄拉克旋量此解可展示粒子與反粒子的關係。
相關條目
•旋量
•狄拉克方程
•旋量群
