簡介
物理學中, 狄拉克費米子是反粒子與自身不同的費米子。絕大多數粒子因為反粒子與自身不同,而屬於狄拉克費米子,粒子物理學中除中微子外,標準模型中的所有費米子都是狄拉克費米子。狄拉克費米子以保羅·狄拉克命名,可以用狄拉克方程描述。
一個狄拉克費米子相當於兩個外爾費米子。與狄拉克費米子對應的是反粒子與自身相同的馬約拉納費米子。
除此之外,在凝聚態物理學中,石墨烯和拓撲絕緣體的低能激發是由狄拉克方程描述的費米子準粒子。
狄拉克方程
理論物理中,相對於薛丁格方程之於非相對論量子力學, 狄拉克方程是相對論量子力學的一項描述自旋-½粒子的波函式方程,由英國物理學家保羅·狄拉克於1928年建立,不帶矛盾地同時遵守了狹義相對論與量子力學兩者的原理,實則為薛丁格方程的洛倫茲協變式。這條方程預言了反粒子的存在,隨後1932年由卡爾·安德森發現了正電子(positron)而證實。
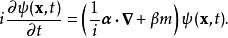
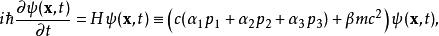
帶有自旋-½的自由粒子的 狄拉克方程的形式如下:
狄拉克費米子
狄拉克費米子
狄拉克費米子
狄拉克費米子其中 是自旋-½粒子的質量, 與 分別是空間和時間的坐標。
狄拉克的最初推導
狄拉克所希望建立的是一個同時具有洛倫茲協變性和薛丁格方程形式的波方程,並且這個方程需要確保所導出的機率密度為正值,而不是像克萊因-戈爾登方程那樣存在缺乏物理意義的負值。
考慮無場勢自由粒子的薛丁格方程:
狄拉克費米子薛丁格方程採用的時間項為一階導數,而空間項為二階導數,因此不具有洛倫茲協變性。若要符合洛倫茲協變性,很自然地需建構一具有空間項一階導數的哈密頓量。
狄拉克費米子而動量算符恰好是空間一階導數。將動量算符
狄拉克費米子代入式子中,從而得到 狄拉克方程:
狄拉克費米子亦可以矢量符號寫為:
狄拉克費米子
狄拉克費米子
狄拉克費米子
狄拉克費米子
狄拉克費米子其中的係數和不能是簡單的常數,否則即使對於簡單的空間旋轉變換,這個方程也不是洛倫茲協變的。因此狄拉克假設這些係數都是N×N階矩陣以滿足洛倫茲協變性。如果係數是矩陣,那么波函式也不能是簡單的標量場,而只能是N×1階列矢量:
狄拉克費米子狄拉克把這些列矢量叫做旋量(Spinor),這些旋量所決定的機率密度總是正值:
狄拉克費米子
狄拉克費米子同時,這些旋量的每一個標量分量需要滿足標量場的克萊因-戈爾登方程。比較兩者可以得出係數矩陣需要滿足如下關係:
狄拉克費米子
狄拉克費米子
狄拉克費米子
狄拉克費米子
狄拉克費米子滿足以上條件的係數矩陣和本徵值只可以取±1,並且要求是無跡的,即矩陣的對角線元素和為零。這樣,矩陣的階數N只能為偶數,即包含有相等數量的+1和-1。滿足條件的最小偶數是4而不是2,原因是存在3個泡利矩陣。也可以用狹義相對論慣用四維矩陣來理解,如四動量。
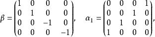
在不同基中這些係數矩陣有不同形式,最常見的形式為:
狄拉克費米子
狄拉克費米子這裡即為泡利矩陣:
狄拉克費米子
狄拉克費米子
狄拉克費米子因此係數矩陣和可進一步寫為:
狄拉克費米子
狄拉克費米子
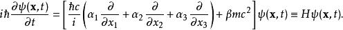
狄拉克費米子按照量子場論的自然單位制習慣,設,狄拉克方程可寫為:
狄拉克費米子狄拉克方程的洛倫茲協變形式
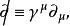
狄拉克費米子定義四個反對易矩陣 γ,μ=0,1,2,3(稱為狄拉克矩陣)。其反對易關係為:,其中 η是平直時空的度規。
狄拉克費米子利用上式可證明:
狄拉克費米子因此狄拉克方程可寫成 狄拉克方程(協變形式):
狄拉克費米子
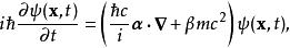
狄拉克費米子採取自然單位制習慣,則可將狄拉克方程寫成:
狄拉克費米子與上面給出的 α, β相對應,可以選擇:
狄拉克費米子
狄拉克費米子
狄拉克費米子或寫成:
狄拉克費米子
狄拉克費米子若採用費曼斜線標記,比如偏微分符號(英語念作d-slash);其將狄拉克矩陣與各分量做乘積求和的計算,合併為一標有斜線之符號:
狄拉克費米子可使狄拉克方程變成:
狄拉克費米子若同時採用費曼斜線符號及自然單位制 ħ= c= 1,狄拉克方程可寫成一極為簡單的形式。即 狄拉克方程(自然單位制):
狄拉克費米子狄拉克之海
以狄拉克公式來解釋能量階,會發現每個電子能階會有相對的負能階,但是實驗上普通電子無法帶有負能量,因此狄拉克假設負能量階已被無限的負能電子海占據,所以觀測的電子無法進入負能階。這假說有許多疑點,尤其是無限的電子海其實有接受更多電子的能階,所以無法防止負能階電子的產生。
參見
•狄拉克旋量
•旋量
•狄拉克之海
•石墨烯

