簡介
在機率論和統計學中,一個離散性隨機變數的 數學期望 值,是試驗中每次可能的結果乘以其結果機率的總和。換句話說, 期望值像是隨機試驗在同樣的機會下重複多次,所有那些可能狀態平均的結果,便基本上等同“期望值”所期望的數。需要注意的是,期望值並不一定等同於常識中的“期望”——“期望值”也許與每一個結果都不相等。(換句話說,期望值是該變數輸出值的平均數。期望值並不一定包含於變數的輸出值集合里。)
例如,擲一枚公平的六面骰子,其每次“點數”的期望值是3.5,計算如下:
數學期望值不過如上所說明的,3.5雖是“點數”的期望值,但卻不屬於可能結果中的任一個,沒有可能擲出此點數。
數學定義
如果 X是在機率空間(Ω, P)中的隨機變數,那么它的期望值E[ X]的定義是:
數學期望值F-分布函式 並不是每一個隨機變數都有期望值的,因為有的時候這個積分不存在。
如果兩個隨機變數的分布相同,則它們的期望值也相同。
數學期望值
數學期望值
數學期望值
數學期望值1)如果 X是 離散的隨機變數,輸出值為, 和輸出值相應的機率為(機率和為1)。若級數絕對收斂,那么期望值E[ X]是一個無限數列的和:
下面賭博的例子就是用這種方法求出期望值的。
數學期望值
數學期望值
數學期望值2)如果 X是 連續的隨機變數,存在一個相應的機率密度函式,若積分絕對收斂,那么 X的期望值可以計算為:,是針對於連續的隨機變數的,與離散隨機變數的期望值的算法同出一轍,由於輸出值是連續的,所以把求和改成了積分 。
性質
1.期望值 E是線性函式。
數學期望值X和 Y為在同一機率空間的兩個隨機變數(可以獨立或者非獨立), a和 b為任意實數。
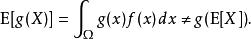
2.一般的說,一個隨機變數的函式的期望值並不等於這個隨機變數的期望值的函式。
數學期望值3.在 一般情況下,兩個隨機變數的 積的期望值不等於這兩個隨機變數的期望值的積。
數學期望值特殊情況是當這兩個隨機變數是相互獨立的時候(也就是說一個隨機變數的輸出不會影響另一個隨機變數的輸出) 。
期望值的運用
在統計學中,想要估算變數的期望值時,經常用到的方法是重複測量此變數的值,然後用所得數據的平均值來作為此變數的期望值的估計。
在機率分布中, 數學期望值和方差或標準差是一種分布的重要特徵。
在古典力學中,物體重心的算法與期望值的算法十分近似,期望值也可以通過方差計算公式來計算方差:
數學期望值實際生活中,賭博是數學期望值的一種常見套用 。
例如,美國的輪盤中常用的輪盤上有38個數字,每一個數字被選中的機率都是相等的。賭注一般押在其中某一個數字上,如果輪盤的輸出值和這個數字相等,那么下賭者可以將相當於賭注35倍的獎金(原注不包含在內),若輸出值和下壓數字不同,則賭注就輸掉了。
考慮到38種所有的可能結果,然後這裡我們的設定的期望目標是“贏錢”,則因此,討論贏或輸兩種預想狀態的話,以1美元賭注押一個數字上,則獲利的期望值為:贏的“機率38分之1,能獲得35元”,加上“輸1元的情況37種”,結果約等於-0.0526美元。也就是說,平均起來每賭1美元就會輸掉5美分,即美式輪盤以1美元作賭注的期望值為 負0.0526美元。

