簡介
在機率論和統計學中,均勻分布也叫矩形分布,它是對稱機率分布,在相同長度間隔的分布機率是等可能的。 均勻分布由兩個參數a和b定義,它們是數軸上的最小值和最大值,通常縮寫為U(a,b)。
性質
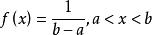
機率密度函式
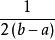
均勻分布的機率密度函式為:
均勻分布[數學機率論中的術語]
均勻分布[數學機率論中的術語]
均勻分布[數學機率論中的術語]
均勻分布[數學機率論中的術語]
均勻分布[數學機率論中的術語]在兩個邊界a和b處的f(x)的值通常是不重要的,因為它們不改變任何 的積分值。 機率密度函式有時為0,有時為 。 在傅立葉分析的概念中,可以將f(a)或f(b)的值取為 ,因為這種均勻函式的許多積分變換的逆變換都是函式本身。
均勻分布[數學機率論中的術語]對於平均值μ和方差 ,機率密度可以寫為:
均勻分布[數學機率論中的術語]
均勻分布[數學機率論中的術語]分布函式
累積分布函式為:
均勻分布[數學機率論中的術語]
均勻分布[數學機率論中的術語]
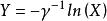
均勻分布[數學機率論中的術語]它的逆是:
均勻分布[數學機率論中的術語]生成函式
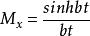
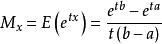
力矩生成函式:
均勻分布[數學機率論中的術語]
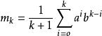
均勻分布[數學機率論中的術語]我們可以從中計算原始力矩 :
均勻分布[數學機率論中的術語]
均勻分布[數學機率論中的術語]
均勻分布[數學機率論中的術語]對於特殊情況a =-b,那么,
均勻分布[數學機率論中的術語]
均勻分布[數學機率論中的術語]力矩生成函式的簡單形式:
均勻分布[數學機率論中的術語]
均勻分布[數學機率論中的術語]
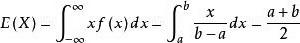
均勻分布[數學機率論中的術語]對於該分布的隨機變數,期望值為 ,方差為 。
屬性
矩
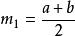
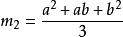
一階矩(均值):
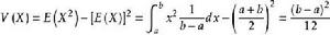
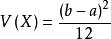
均勻分布[數學機率論中的術語]二階中心矩(方差):
均勻分布[數學機率論中的術語]也可以用期望來求:
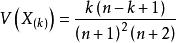
均勻分布[數學機率論中的術語]統計量
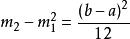
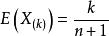
均勻分布[數學機率論中的術語]令 是服從於U(0,1)的樣本。 令X(k)為該樣本的第k次統計量。 那么X(k)的機率分布是參數為k和n-k+1的β分布。期望值是:
均勻分布[數學機率論中的術語]方差是:
均勻分布[數學機率論中的術語]均勻度
均勻分布的隨機變數落在固定長度的任何間隔內的機率與區間本身的位置無關(但取決於間隔大小),只要間隔包含在分布的支持中即可。
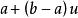
為了看到這一點,如果X〜U(a,b)並且[x,x + d]是具有固定d> 0的[a,b]的子間隔,則
均勻分布[數學機率論中的術語]標準均勻分布
若a = 0並且b = 1,所得分布U(0,1)稱為標準均勻分布。
標準均勻分布的一個有趣的屬性是,如果u具有標準均勻分布,那么1-u也是如此。
相關分布
均勻分布[數學機率論中的術語]
均勻分布[數學機率論中的術語](1)如果X服從標準均勻分布,則通過逆變換方法, 具有指數分布參數 。
(2)如果X服從標準均勻分布,則Y = X具有參數(1 / n,1)的β分布。
(3)如果X服從標準均勻分布,則Y = X也是具有參數(1,1)的β分布的特殊情況。
(4)兩個獨立的,均勻分布的總和產生對稱的三角分布。
套用
統計學中,當使用p值作為簡單零假設的檢驗統計量,並且檢驗統計量的分布是連續的,則如果零假設為真,則p值均勻分布在0和1之間。
從均勻分布抽樣
運行仿真實驗有很多套用。 許多程式語言能夠生成根據標準均勻分布有效分布的偽隨機數。
均勻分布[數學機率論中的術語]如果u是從標準均勻分布中採樣的值,則如上所述, 的值遵循由a和b參數化的均勻分布。
從任意分布抽樣
均勻分布對於任意分布的採樣是有用的。 一般的方法是使用目標隨機變數的累積分布函式(CDF)的逆變換採樣方法。 這種方法在理論工作中非常有用。 由於使用這種方法的模擬需要反轉目標變數的CDF,所以已經設計了cdf未以封閉形式知道的情況的替代方法。 一種這樣的方法是拒收抽樣。
常態分配是逆變換方法效率不高的重要例子。 然而,有一個確切的方法,Box-Muller變換,它使用逆變換將兩個獨立的均勻隨機變數轉換成兩個獨立的常態分配隨機變數。
量化誤差
在模數轉換中,發生量化誤差。 該錯誤是由於四捨五入或截斷。 當原始信號比一個最低有效位(LSB)大得多時,量化誤差與信號不顯著相關,並具有大致均勻的分布。 因此,RMS誤差遵循該分布的方差。
![均勻分布[數學機率論中的術語] 均勻分布[數學機率論中的術語]](/img/6/f77/nBnauM3XxgTOzIDNzgDOwADO1UTM1QDN5MjM5ADMwAjMwUzL4gzL2AzLt92YucmbvRWdo5Cd0FmLwE2LvoDc0RHa.jpg)
