歷史故事
在17世紀,有一個賭徒向法國著名數學家帕斯卡挑戰,給他出了一道題目:甲乙兩個人賭博,他們兩人獲勝的機率相等,比賽規則是先勝三局者為贏家,一共進行五局,贏家可以獲得100法郎的獎勵。當比賽進行到第四局的時候,甲勝了兩局,乙勝了一局,這時由於某些原因中止了比賽,那么如何分配這100法郎才比較公平?
用機率論的知識,不難得知,甲獲勝的可能性大,乙獲勝的可能性小。
因為甲輸掉後兩局的可能性只有(1/2)×(1/2)=1/4,也就是說甲贏得後兩局的機率為1-(1/4)=3/4,甲有75%的期望獲得100法郎;而乙期望贏得100法郎就得在後兩局均擊敗甲,乙連續贏得後兩局的機率為(1/2)*(1/2)=1/4,即乙有25%的期望獲得100法郎獎金。
可見,雖然不能再進行比賽,但依據上述可能性推斷,甲乙雙方最終勝利的客觀期望分別為75%和25%,因此甲應分得獎金的100*75%=75(法郎),乙應分得獎金的的100×25%=25(法郎)。這個故事裡出現了“期望”這個詞,數學期望由此而來。
離散型
如果隨機變數只取得有限個值或無窮能按一定次序一一列出,其值域為一個或若干個有限或無限區間,這樣的隨機變數稱為離散型隨機變數。
期望[數學名詞]
期望[數學名詞]
期望[數學名詞]離散型隨機變數的一切可能的取值 與對應的機率 乘積之和稱為該離散型隨機變數的數學期望 (若該求和絕對收斂),記為 。它是簡單算術平均的一種推廣,類似加權平均。
公式
期望[數學名詞]
期望[數學名詞]
期望[數學名詞]
期望[數學名詞]離散型隨機變數X的取值為 , 為X對應取值的機率,可理解為數據 出現的頻率 ,則:
期望[數學名詞]
期望[數學名詞]例子
某城市有10萬個家庭,沒有孩子的家庭有1000個,有一個孩子的家庭有9萬個,有兩個孩子的家庭有6000個,有3個孩子的家庭有3000個。
則此城市中任一個家庭中孩子的數目是一個隨機變數,記為X。它可取值0,1,2,3。
其中,X取0的機率為0.01,取1的機率為0.9,取2的機率為0.06,取3的機率為0.03。
期望[數學名詞]則,它的數學期望 ,即此城市一個家庭平均有小孩1.11個,當然人不可能用1.11個來算,約等於2個。
期望[數學名詞]
期望[數學名詞]設Y是隨機變數X的函式: ( 是連續函式)
期望[數學名詞]
期望[數學名詞]它的分布律為 若 絕對收斂,則有:
期望[數學名詞]連續型
期望[數學名詞]設連續性隨機變數X的機率密度函式為f(x),若積分絕對收斂,則稱積分的值 為隨機變數的數學期望,記為E(X)。
期望[數學名詞]若隨機變數X的分布函式F(x)可表示成一個非負可積函式f(x)的積分,則稱X為連續性隨機變數,f(x)稱為X的機率密度函式(分布密度函式)。
期望[數學名詞]
期望[數學名詞]數學期望 完全由隨機變數X的機率分布所確定。若X服從某一分布,也稱 是這一分布的數學期望。
定理
期望[數學名詞]
期望[數學名詞]若隨機變數Y符合函式 ,且 絕對收斂,則有:
期望[數學名詞]
期望[數學名詞]該定理的意義在於:我們求 時不需要算出Y的分布律或者機率密度,只要利用X的分布律或機率密度即可。
上述定理還可以推廣到兩個或以上隨機變數的函式情況。
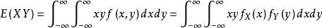
期望[數學名詞]
期望[數學名詞]設Z是隨機變數X、Y的函式 (g是連續函式),Z是一個一維隨機變數,二維隨機變數(X,Y)的機率密度為 ,則有:
期望[數學名詞]區別
離散型隨機變數與連續型隨機變數都是由隨機變數取值範圍(取值)確定。
期望[數學名詞]變數取值只能取離散型的自然數,就是離散型隨機變數。例如,一次擲20個硬幣,k個硬幣正面朝上,k是隨機變數。k的取值只能是自然數0,1,2,…,20,而不能取小數3.5、無理數 ,因而k是離散型隨機變數。
期望[數學名詞]如果變數可以在某個區間內取任一實數,即變數的取值可以是連續的,這隨機變數就稱為連續型隨機變數。例如,公共汽車每15分鐘一班,某人在站台等車時間x是個隨機變數,x的取值範圍是[0,15),它是一個區間,從理論上說在這個區間內可取任一實數3.5、無理數 等,因而稱這隨機變數是連續型隨機變數。
性質
設C為一個常數,X和Y是兩個隨機變數。以下是數學期望的重要性質:
期望[數學名詞]1.
期望[數學名詞]2.
期望[數學名詞]3.
期望[數學名詞]4.當X和Y相互獨立時,
性質3和性質4可以推到到任意有限個相互獨立的隨機變數之和或之積的情況。
證明:
期望[數學名詞]
期望[數學名詞]這裡只對連續性隨機變數的情況加以證明,對離散型的證明只要將證明中的積分 改為和式 即可。
1.永遠都只能取C,常數C的平均數還是它本身。
期望[數學名詞]2.
期望[數學名詞]
期望[數學名詞]3.設二維隨機變數 的機率密度函式為 。
期望[數學名詞]
期望[數學名詞]
期望[數學名詞]
期望[數學名詞]4.若X和Y相互獨立,其邊緣機率密度函式為 ,有
期望[數學名詞]
期望[數學名詞]套用
經濟決策
假設某一超市出售的某種商品,每周的需求量X在10至30範圍內等可能取值,該商品的進貨量也在10至30範圍內等可能取值(每周只進一次貨)超市每銷售一單位商品可獲利500元,若供大於求,則削價處理,每處理一單位商品虧損100元;若供不應求,可從其他超市調撥,此時超市商品可獲利300元。試計算進貨量多少時,超市可獲得最佳利潤?並求出最大利潤的期望值。
分析:由於該商品的需求量(銷售量)X是一個隨機變數,它在區間[10,30]上均勻分布,而銷售該商品的利潤值Y也是隨機變數,它是X的函式,稱為隨機變數的函式。題中所涉及的最佳利潤只能是利潤的數學期望(即平均利潤的最大值)。因此,本問題的解算過程是先確定Y與X的函式關係,再求出Y的期望E(Y)。最後利用極值法求出E(Y)的極大值點及最大值。
抽獎問題
假設某百貨超市現有一批快到期的日用產品急需處理,超市老闆設計了免費抽獎活動來處理掉了這些商品。紙箱中裝有大小相同的20個球,10個10分,10個5分,從中摸出10個球,摸出的10個球的分數之和即為中獎分數,獲獎如下:
一等獎 100分,冰櫃一個,價值2500元;
二等獎 50分, 電視機一個,價值1000元;
三等獎 95分, 洗髮液8瓶,價值178元;
四等獎 55分, 洗髮液4瓶,價值88元;
五等獎 60分, 洗髮液2瓶,價值44元;
六等獎 65分, 牙膏一盒, 價值8元;
七等獎 70分, 洗衣粉一袋,價值5元;
八等獎 85分, 香皂一塊, 價值3元;
九等獎 90分, 牙刷一把, 價值2元;
十等獎 75分與80分為優惠獎,只収成本價22元,將獲得洗髮液一瓶;
分析:表面上看整個活動對顧客都是有利的,一等獎到九等獎都是白得的,只有十等獎才收取一點成本價。但經過分析可以知道商家真的就虧損了嗎?顧客就真能從中獲得抽取大獎的機會嗎?求得其期望值便可真相大白。摸出10個球的分值只有11種情況,用X表示摸獎者獲得的獎勵金額數,計算得到E(X)=-10.098,表明商家在平均每一次的抽獎中將獲得10.098元,而平均每個抽獎者將花 10.098元來享受這種免費的抽獎。 從而可以看出顧客真的就站到大便宜了嗎?相反,商家採用這種方法不僅把快要到期的商品處理出去了,而且還為超市大量集聚了人氣,一舉多得。此百貨超市老闆運用數學期望估計出了他不會虧損而做了這個免費抽獎活動,最後一舉多得,從中可看出了數學期望這一科學的方法在經濟決策中的重要性。
體育比賽問題
桌球是我們的國球,上世紀兵兵球也為中國帶了一些外交。中國隊在這項運動中具有絕對的優勢。現就桌球比賽的安排提出一個問題:假設德國國隊(德國隊名將波爾在中國也有很多球迷)和中國隊比賽。賽制有兩種,一種是雙方各出3人,三場兩勝制, 一種是雙方各出5人,五場三勝制,哪一種賽制對中國隊更有利?
分析:由於中國隊在這項比賽中的優勢,不妨設中國隊中每一位隊員德國隊員的勝率都為60%,接著只需要比較兩個隊對應的數學期望即可。
![期望[數學名詞] 期望[數學名詞]](/img/8/ac8/nBnauM3XwIDN5UDN0QDM3IDN0UTMyITNykTO0EDMwAjMwUzL0AzLxczLt92YucmbvRWdo5Cd0FmL0E2LvoDc0RHa.jpg)
