學科介紹
3DS max作圖示例放樣是指在3ds max里的二維的圖形轉換為三維的圖形建模方法。 類似於它的方法是extrude(拉伸),lathe(鏇床),bevel(倒角) ,另外在Autocad中也有相對應的套用,使用方法基本相同。
學科詳情
放樣複合對象放樣是將一個二維形體對象作為沿某個路徑的剖面,而形成複雜的三維對象。同一路徑上可在不同的段給予不同的形體。我們可以利用放樣來實現很多複雜模型的構建。工程上用於把圖紙上的方案“搬”到實際現場
Autodesk Maya:創建合適的曲線後,使用"Surface(曲面)--Loft(放樣)"命令可以構建一個通過一系列輪廓曲線組成的面。
在CATIA中該功放樣(Loft),是用一組互不交叉的截面曲線和一條指定的或自動確定的脊線(Spine)掃描得到的形體,形體的表面通過這組截面曲線。如果指定一組導線(Guides),那么形體還將受到導線的控制。可以為截面曲線指定相切支撐面,使放樣形體和支撐面在此截面處相切,還可以在截面曲線上指定閉合點(Closing point),用於控制形體的扭曲狀態。
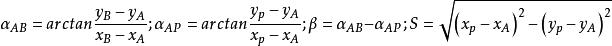
放樣:在工程測量中是測量設定的意思,將圖紙上設計的位置/物體放到實地的位置/物體。
全站儀放樣(放線):全站儀的放樣有兩個,一個是坐標放樣,一個是方位角放樣。坐標放樣是根據你放你輸入X、Y後確定,依據提示界面,調水平螺鏇至0-00-00,然後對準稜鏡測量。方位角放樣是根據自己算出來的方位角和距離放樣的,輸入水平距離後,調水平螺鏇至放樣點方位角,對準稜鏡測量。
放樣方法
全站儀常用的放樣方法包括全站儀在已知點設站和在未知點設站兩種情況。在已知點設站包括極坐標法放樣和坐標法放樣;在未知點設站包括角度後方交會法設站坐標放樣和邊角聯合後方交會法設站坐標放樣。在已知點設站的兩种放樣方法在工程施工中套用最多,但這兩種方法存在一定的局限性,如視線較長時間遮擋、控制點上無法設站、兩已知控制點不通視和測區內的已知點遭到破壞等情況下,這兩種方法就無法進行。全站儀在未知點設站的形式是採用後方交會,即在待定點上測量至若干個通視已知點的距離和方向值,來確定待定點的點位,這兩種方法無論是用來加密圖根控制點,還是用來加密等級控制點,都是一種非常適用的方法。本文詳細闡述了這4种放樣方法的適用情況、放樣原理、設站方法,對每種方法都作了精度分析,並通過使用南方S750全站儀在某工程實地測設驗證,得到的結果可供野外作業參考使用。根據《城市測量規範》(CJJ/T 8—2011)的要求,四等以下網中最弱點的點位中誤差不得大於5 cm,採用4種方法實地測設D、D、D、D、D、D的坐標。
已知點設站極坐標法放樣
(1)極坐標法放樣原理
圖 1 極坐標法放樣已知點設站極坐標法放樣如圖1所示,待放樣點距設站點的距離和與基準方向的角度都已給定的,採用極坐標法放樣,將全站儀安置在已知控制點A,將照準部瞄準已知方向AB,通過測角、量距來確定放樣點,具體原理如下
放樣從而可求得待放樣點P的橫縱坐標,即P點的平面位置。由於極坐標法放樣受地形因素影響較大,因此極坐標法放樣只適用於測設距離較短,且便於量距的場地。
(2)理論精度分析
圖 2 已知點設站坐標法
放樣影響精度的因素包括人為誤差、外界環境影響誤差、儀器誤差等。將放樣時的人為誤差標定為±2 mm,外界因素影響誤差標定為±2 mm,儀器對中誤差標定為±2 mm,可得標定方差σ± ·2 mm。儀器誤差σ可通過上式按照誤差傳播定律求得。
由於控制點點位中誤差在±50 mm範圍內,則其點位橫縱坐標中誤差約±35 mm。所以理論上放樣點誤差為
放樣已知點設站坐標法放樣
(1)坐標法放樣原理
已知點設站坐標法放樣如圖2所示,A、B為施工坐標系中的已知控制點,坐標為A(x,y)、B(x,y),待放樣點P設計坐標為P(x,y),則待放樣點距設站點角度和距離為
放樣(2)理論精度分析
放樣由此仍需考慮人為誤差、外界環境影響誤差、儀器誤差,所以標定方差仍為σ± ·2 mm。
角度後方交會法設站坐標放樣
(1)角度後方交會法設站坐標放樣原理
圖3 危險圓由於工程施工過程中經常遇到測站與後視控制點不通視、控制點上無法設站或待放樣點距控制點較遠的情況,此時無法再在已知點上設站,這時需要選擇一個過渡的新點,將全站儀安置在新點,向3個已知點A、B、C進行方向觀測,測得水平角α、β,根據A、B、C3個已知點的坐標和α、β,按照不同的思路,計算出新點P的坐標。
(2)角度後方交會法設站坐標放樣的危險圓
用後方交會法求未知點時,過3個已知點構成的圓稱為危險圓(如圖3所示)。凡位於危險圓上的P點,無論採用何種計算公式,其結果均無解。利用角度後方交會法計算新點進行放樣時,待放樣點P是施工場任意位置的點,由圖5知,當待放樣點P在AB)上的任意位置時,α、β均不變;同樣在BC)、AC)上亦有相同情況。也就是說,同一組α、β角值可以算得無限個P點坐標,這在計算過程中的表現就是無解。
在測量實踐中,P點剛好位於危險圓上的情況是極為偶然的,但是位於距危險圓較近的地方是很容易遇到的。此時計算出的坐標有較大的誤差,為了避免這種情況產生,通常在內業組成計算圖形時,提前畫出危險圓,從而避免在野外選點時將過渡點選在危險圓上或附近。
邊角聯合後方交會法設站坐標放樣
(1)邊角聯合後方交會法設站坐標放樣原理
邊角聯合後方交會法放樣又稱自由設站法,它是指在過渡點上設站,對多個已知控制點觀測方向和距離,按間接平差的方法計算待定點的坐標。現場觀測完畢後,測站點的坐標就可顯示出來,邊角聯合後方交會法放樣是工程施工放樣的重要方法之一。它的特點是在未知點P設站觀測兩個已知方向的邊長S、S和夾角α,即可解算出P點的坐標。
(2)邊角聯合後方交會法設站坐標放樣精度分析
利用自由設站法確定測站點P的位置時,其觀測元素是邊長和方向值,由於觀測誤差和氣象條件等的影響,利用上述平差方法求解的平面相似轉換模型參數會有誤差。為評定P點的精度,在自由設站法的程式中,可以求出控制點原始坐標與轉換坐標之間的差值,並根據它們來評定P點的點位精度
放樣式中,n為後視控制點個數;(x,y)為控制點的轉換坐標;(x,y)為控制點在施工坐標系中的原始坐標。
研究結論
本文根據全站儀4種設站方法研究了全站儀的幾種典型的坐標放樣方法,詳細介紹了4种放樣方法的原理以及精度分析,並在某工程中進行了試驗。通過試驗數據表明:
1)全站儀在已知點設站進行測設的精度明顯高於在未知點測設的精度。
2)在已知點設站時,極坐標放樣的精度小於±25 mm,坐標法放樣的精度小於±30 mm。
3)在未知點設站進行測設的精度均大於±30 mm,兩種方法應該根據實際條件選擇。

